Skip to content

Фотогалерея

  • Главная
  • Контакты

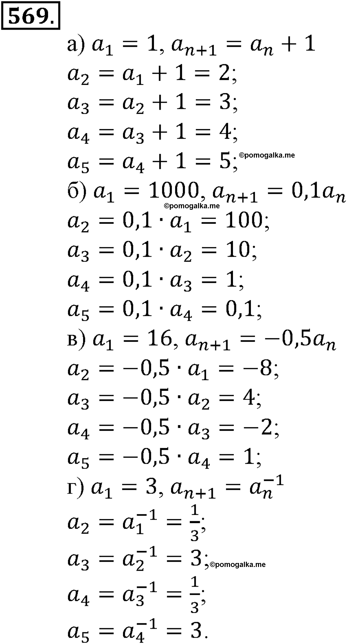
Задача 569 по математике 6 класс

Задание № 569 - ГДЗ по Математике 6 класс: Виленкин

Задание № 569 - ГДЗ по Математике 6 класс: Виленкин

Номер №569 - ГДЗ по Математике 6 класс: Виленкин Н.Я.

ГДЗ учебник 2015. номер 569 (574) математика 6 класс Виленкин, Жохов

Номер №569 - ГДЗ по Математике 6 класс: Никольский С.М.

Номер №569 - ГДЗ по Математике 6 класс: Никольский С.М.

Номер 569 - ГДЗ по математике 6 класс Бунимович, Кузнецова, Минаева учебник

Номер 569 - ГДЗ по математике 6 класс Бунимович, Кузнецова, Минаева учебник

Номер 569 - ГДЗ по математике 6 класс Мерзляк, Полонский решебник с ...

Номер 569 - ГДЗ по математике 6 класс Мерзляк, Полонский решебник с ...

Номер 569 - ГДЗ по математике 6 класс Мерзляк, Полонский решебник с ...

Номер 569 - ГДЗ по математике 6 класс Мерзляк, Полонский решебник с ...

Номер 569 стр. 103 - ГДЗ по математике 6 класс Виленкин, Жохов ...

Номер №569 - ГДЗ по Математике 6 класс: Мерзляк А.Г.

Номер 569 - ГДЗ по математике 6 класс Мерзляк, Полонский решебник с ...

Номер 569 - ГДЗ по математике 6 класс Мерзляк, Полонский решебник с ...

ГДЗ задача 569 геометрия 7 класс Мерзляк, Полонский

ГДЗ задача 569 геометрия 9 класс Мерзляк, Полонский

Номер №569 - ГДЗ по алгебре 9 класс Мерзляк, Полонский, Якир с ...

Номер 569 - ГДЗ по математике 5 класс Мерзляк, Полонский с пошаговым ...

Номер 569 - ГДЗ по математике 5 класс Мерзляк, Полонский с пошаговым ...

Номер 569 - ГДЗ по математике 5 класс Мерзляк, Полонский с пошаговым ...

Номер 569 - ГДЗ по алгебре 9 класс Макарычев, Миндюк, Нешков

Номер №569 - гдз по алгебре 9 класс Макарычев, Миндюк, Нешков

Задача 609 - по математике 6 класс ответы

Номер 6.6 стр. 99 - ГДЗ по математике 6 класс Виленкин, Жохов часть 2 ...

Номер 6.7 стр. 99 - ГДЗ по математике 6 класс Виленкин, Жохов часть 2 ...

Номер 6.75 стр. 109 - ГДЗ по математике 6 класс Виленкин, Жохов часть 2 ...

Гдз по математике 6 класс 190 | Лучшие домашние задания РУнета

Номер 6.94 стр. 115 - ГДЗ по математике 6 класс Виленкин, Жохов часть 2 ...

Номер 6.31 стр. 103 - ГДЗ по математике 6 класс Виленкин, Жохов часть 2 ...

Номер 841 - ГДЗ, математика, 6 класс - Зубарева, Мордкович

Математика 6 класс Итоговая Дорофеев Контрольная + Ответы

Сборник Задач По Математике 6 Класс Гдз Беларусь - serviccatch

ГДЗ Дидактические материалы по математике 6 класс. Задание 12

  • Вперед Раствор фенолята натрия с соляной кислотой
  • Назад Схема переключения передач газ 66 рисунок

Новые страницы

Baudrate что это

Чистка holy land

Гдз по алгебре 7 класс автор а г мерзляк

Гдз по алгебре 8 класс дидактический материал потапов шевкин

Гдз по английскому 8 класс spotlight учебник 2016

Гдз по географии 5 6 класс лобжанидзе

Гдз по русскому упр 362

Гдз по русскому языку 6 класс 2 часть рыбченко

Картина ветреный день

Книга по математике 5 класса 2 часть

Новые диаметры москвы схема

Образец анкеты на визу в францию

Очень люблю тебя родной мой картинки

Почтовый конверт заполнение образец

Поле стадиона имеет форму прямоугольника с примыкающими к нему с двух сторон полукругами

Предохранитель стоп сигнала ваз 2111

Рабочая тетрадь английский язык 5 класс просвещение гдз

Распиновка эбу астра g

Размеры уазовских дисков

Схема подключения сигнализации шерхан магикар 7 с автозапуском

Снятие радиатора печки приора без кондиционера

Suzuki джип

Танк т55 фото

Выберите знаковую модель рисунок схема

Витебск монолит

Вывоз строительного мусора свао

Вторичный источник электропитания схема

Ялта карта города с улицами и номерами домов панорама

Задача 569 по математике 6 класс

Зумба тренировка бесплатная

cdn.zecar.ru