Skip to content

Фотогалерея

  • Главная
  • Контакты

Y lncosx

Solved | Chegg.com

Solved Question 2If y=lncosx, ?then dxdy ?is (CE July | Chegg.com

What is the Derivative of ln(cos(x))? - [Solution]

Solved Find the equation of the line tangent to the curve of | Chegg.com

How to differentiate ln(secx+tanx) {implicit differentiation method ...

?? Master Calculus Quickly! Derivative of ln(cos(x)) in 1.5 Minutes ...

3 1) (y = tg(2x + 6))2) (y = tgx)3) (y = 1cosx)4) (y = 2sinx)5) (y = tg ...

Solved y = sin (ln 3x^4) y = ln |sin x^2| y = ln |tan^2 x| | Chegg.com

Solved 51. y=(cosx)x Answer: y'=(cosx)x(?xtanx+lncosx) | Chegg.com

Solved If y=lncosx, show that dx2d2y+1+(dxdy)2=0 Hence, by | Chegg.com

Solved 1. Differentiate: a) y=ln(x3+1) b) y=lncosx | Chegg.com

How do you graph y=ln(tan^2 x)? | Socratic

use-the-first-principle-y-ln-cos-x- – Tinku Tara

Solved 3. y=lncosx | Chegg.com

Find the radius of curvature at any point on the curve y = a log sec(x ...

Come si usa la differenziazione logaritmica per trovare la derivata di ...

Solved Find the arc length of the graph of y = ln (cos x), | Chegg.com

Solved consider the graph of y = -ln (cosx) , often called | Chegg.com

Solved Qestion-5 ( 3 points): Find the arc length of the | Chegg.com

Solved Consider the graph of y = - ln (cos x), often called | Chegg.com

Solved 10. Find the derivatives of a) | Chegg.com

Solved 10. Find the derivatives of a) | Chegg.com

Solved Find the arc length L of the graph of the given | Chegg.com

Solved Arc Length Calculate the arc length form by the | Chegg.com

Ответы Mail.ru: Найти дифференциал функции y=lncosx

Ответы Mail.ru: Найти дифференциал функции y=lncosx

(Решено)Упр.5 ГДЗ Колягин Ткачёва 11 класс по алгебре

(Решено)Упр.5 ГДЗ Колягин Ткачёва 11 класс по алгебре

(Решено)Упр.5 ГДЗ Колягин Ткачёва 11 класс по алгебре

Почему ветви графика функции направлены вниз? – MathHelpPlanet

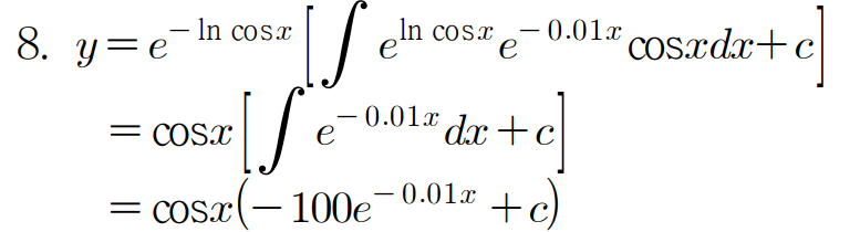
Найти длину дуги кривой. y=In cos x, 0

Найти длину дуги кривой. y=In cos x, 0

Ответы Mail: у=1+lncosx; 0?x?п/4 вычислить длину дуги плоской кривой у ...

  • Вперед Санкции к персоналу спортсмена
  • Назад Должностная инструкция к трудовому договору образец

Новые страницы

Арена цирка места схема

Auto ru оценить авто

Беспрерывная канонада

Демонтаж труб пвх расценка

Длина ниссан альмера

Доверенность в мосэнергосбыт от юридического лица образец

Гдз по английскому 8т класс

Гдз по экологии 6 класс учебник былова шорина ответы на вопросы

Гдз по математике 4 класс 1 часть рабочая тетрадь дорофеев

Грузовое такси москва

Хонда фит или мазда демио

Интерактивная карта генин импакт

Как обозначается трансформатор на схеме

Как природно климатические условия повлияли на занятия древнего египта

Кардиган из квадратов спицами схемы и описание

Картина валентина серова девушка освещенная солнцем

Mercedes benz arena

Недорогой косметический ремонт

Огниво андерсен читательский дневник

Она как змейка в траве мелькает хвостом виляет хвост оторвет другой наживет

Ореанда отель ялта официальный сайт

Прошнуровано и пронумеровано и скреплено печатью образец в рб

Расход шкода рапид

Русский язык 3 класс тетрадь байкова 2 часть

Схема расположения блока предохранителей

Снятие тормозных барабанов

Волчище род

Вязаные бабушкой

Женя с днем рождения мужчине картинки с пожеланиями красивые

Жировик на теле как избавиться

cdn.zecar.ru