Skip to content

Фотогалерея

  • Главная
  • Контакты

Y 27 y 0 952

The pair of equations y=0 and y= 7 has,

De la figura, calcular "y" y "0" - Brainly.lat

Graph Y 2x 0

23. Y=mx be a variable line intersect the lines 2x+y 2=0 and x 2y+2=0 ...

89542 ? 952 y su residuo - Brainly.lat

Buy 952XL High-Yield Ink Cartridges (4-Pack), Replacement for HP 952 ...

Solved y=?x2+27;y=0;?3?x?3 The area is square units. | Chegg.com

SOLVED: F(x, Y, 2) = zey . i + xcos yj + xz sin yk, S is the hemisphere ...

SOLVED: EXAMPLE 3 Bxy^2 If f(x, y) = does lim f(x, y) exist? 8x^2 + yA ...

Solved Solve the initial value problem. dxdy=(8+x)27,y(0)=8 | Chegg.com

Solved Examine the behavior of f(x,y)=2x2+3y3xy as (x,y) | Chegg.com

Solve the Differential equation y ^ " + 3y^'+2y=e^-t where y(0)=0, y'(0 ...

SOLVED: Here is an initial value problem: dy/dx = x ? y and y(1) = 2 ...

Answered: h.x"+y'-y=0; x(0) = 0, x'(0) = 1, y(0)… | bartleby

Solved (1 point) Find y as a function of x if y" – 9y" – y' | Chegg.com

Книга: "Наводная пропись к пособию А.И. Коссодо" - Т. Шклярова. Купить ...

394598?84 porfa respuesta - Brainly.lat

SOLVED: Consider the following second-order differential equation: 3y ...

Solved In this problem, y=c1ex+c2e?x is a two-parameter | Chegg.com

SOLVED: Transform the differential equation 9y" + 52y' + 729y' - 4212y ...

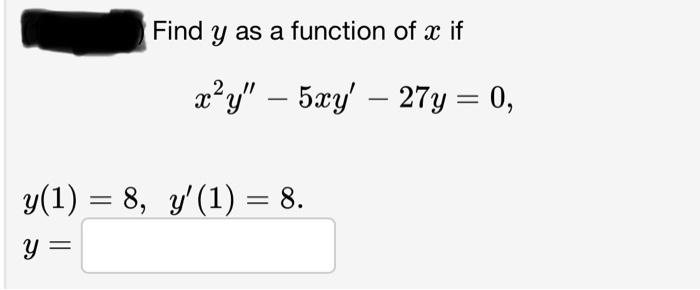
Solved Find y as a function of x if x2y''?5xy'?27y=0 | Chegg.com

Solved Find y as a function of x if y'''?17y''+72y'=280ex | Chegg.com

Prove that W = (x,y,z) ?R3 : x + 2y + 3z = 0 is a vector subspace of R3 ...

Solved Consider the IVP ty'=y+3t2,y(0)=y0. (a) Show that for | Chegg ...

70?? x(x-1)dy/dx-(x-2)y=x^3(2x-1) 291128-Dx x 2 2y 2 dy 0

Solved (1 point) X and Y are random variables with the joint | Chegg.com

SOLVED: Text: xyy + y = 2x (j) 2xy y' y^2 (i) (k) Jdx +xdy = 0 22 (I ...

Читать и смотреть обзоры на IP-камера ORIENT IP-952-GF4BPSD MIC ...

27. y = v1- /1 - x? X - Answer Happy

Solved soletionIf f(x,y)=7x2+y45xy2, does | Chegg.com

Exact Differential Equation: (y^2 cos x - 3x^2*y - 2x)dx + (2y sin x ...

Solved Solve the IVP dt2d2y+16dtdy+65y=0,y(0)=0,y'(0)=8 The | Chegg.com

Solve (y^2 e^(xy^2) + 4x^3)dx+(2xy e^(xy^2)-3y^2)dy=0 – Yawin

  • Вперед Договор задатка при покупке земельного участка образец скачать
  • Назад Учебник математика 5 класс виленкин читать

Новые страницы

74Hc139

Человек видит свое изображение в плоском зеркале на какое расстояние нужно передвинуть зеркало чтобы

Цветы из бисера своими руками для начинающих со схемами

Доверенность на право ведения переговоров образец

Электромонтер фото

Эссе по мертвым душам

Фильм картонный дом

Форсунки коммон рейл делфи

Как начертить разносторонний треугольник

Картинки полины велл

Картридж sedal for lemark

Ltm200kt03

На пляже сдвинулся купальник

Образец приказа отпуска без сохранения заработной платы

Остров лусон филиппины

Ответы по математике 2 класс часть 1 автор моро

Презентация задачи прямоугольный треугольник 7 класс

Пример приказа на утверждение норм расхода гсм образец

Прочитай предложения найди и выпиши местоимения существительные и местоимения прилагательные немного

Прочитайте спишите расставляя знаки препинания вставляя пропущенные буквы

Скайп зависает

Сколько витамина с в печени

Стенки в москве от производителя

Столбы под забор

Структура отдела схема

Уборка 1 квартиры

Ваз 2110 не держит обороты глохнет

Y 27 y 0 952

Заявление на взыскание по исполнительному листу в банк втб образец

Животный мир дагестана проект

cdn.zecar.ru