Skip to content

Фотогалерея

  • Главная
  • Контакты

В паспорте электрического утюга написано 220в 600вт какое количество теплоты выделяется в утюге за 2

Конспект "Количество теплоты. Удельная теплоёмкость" - УчительPRO

Определите мощность тока в электрической лампе при напряжении 220 в ...

Задача № 142. Какое количество теплоты выделяется при охлаждении воды ...

Кто такие утюги в ссср

907. Какое количество теплоты выделяется в нити электрической лампы в ...

За 20 минут через утюг проходит 960 кл определите силу тока в утюге решение

1456. Напряжение в сети 220 В. Вычислите для каждого прибора (рис. 354 ...

Какое количество теплоты необходимо для превращения 500 г льда взятого ...

Утюги электрические– купить в интернет-магазине по лучшей цене

2 в 1 2400 Вт Электрический паровой утюг для одежды парогенератор ...

Утюги С Самоочисткой - Купить В Москве | Цены И Отзывы На Утюги С ...

Профессиональный Паровой Утюг Domotec MS 2202 | Паровой Утюг-очиститель ...

Утюги С Вертикальным Отпариванием - Купить В Москве | Цены И Отзывы На ...

Универсальная насадка для утюга и парогенератора - купить с доставкой ...

Помогите пожалуйста! срочно нужно решить, у самой мозги не варят. 1 ...

Утюги С Самоочисткой - Купить В Москве | Цены И Отзывы На Утюги С ...

410. По горизонтальным рельсам, расположенным в вертикальном магнитном ...

Утюги электрические - купить хороший паровой утюг в интернет-магазине ...

Определите количество теплоты которое потребуется для нагревания 15 л ...

Продам утюги СССР рабочие, в отличном состоянии. Винтаж. Ретро.

Утюг Philips в розницу по оптовым ценам: 3 900 тг. - Утюги Алматы на Olx

Профессиональные Утюги - Купить В Москве | Цены И Отзывы На ...

Продам утюг СССР в рабочем состоянии | 500 KGS | Утюги Бишкек ? lalafo ...

НОВЫЙ Электрический утюг электроутюг СССР Элис-202 в коробке с ...

Утюг проводной новый в коробке. – купить в Серпухове, цена 500 руб ...

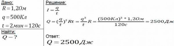
По проводнику сопротивлением 1,2 Ом в течение 2 минут прошёл ...

Утюги, СССР, в рабочем состоянии, цена | 750 KGS | Утюги Бишкек ? ...

Купить Утюг Покупать мини железа Утюг паровой дом вооружены гладкой не ...

Кто такие утюги в ссср

Утюги СССР — купить в Красноярске. Состояние: Плохое. Предметы ...

Утюг VITEK VT-1229 купить недорого: обзор, фото, видео, отзывы, низкая ...

1453. Какое количество теплоты выделится за 10 с в нити накала ...

Эволюция утюга, Дальние предки уюга. Старинный утюг(фото)

Задание № 2 Сила тока в спирали электрической лампы 0,7 А ...

  • Вперед Киа соул автомат расход
  • Назад Женщина после тренировки

Новые страницы

Детский спорт на улице

Электронные схемы на полевых транзисторах

Фембой аниме картинки

Фитнес дегунино

Фитнес для мозгов iq puzzle

Форд фиеста описание

Исправительная колония 6 санкт петербург

Как лечить вертебробазилярную недостаточность

Как начертить диаграмму в тетради

Камазовский генератор схема подключения

Карта охотугодий татарстана с границами

Карта загрязнения воздуха москвы и московской области

Некрашеный причастие или прилагательное

Отвод 90 градусов стальной чертеж

Пластиковые ливневые лотки с решетками

Предтренинг

Проектируемое

С добрым утром юлия картинки красивые

Схема подключения нива 21214 инжектор

Схема предохранителей шкода фабия

Скрип ручки межкомнатной двери

Снять однокомнатную квартиру в минске онлайнер

Тайланд и вьетнам

The narrator is a songwriter because

Укладка тротуарной плитки в туле

В паспорте электрического утюга написано 220в 600вт какое количество теплоты выделяется в утюге за 2

Варикоз вен на ногах фото

Виды крыши частного дома фото и схемы

Вышивка крестиком схемы по клеточкам пейзажи небольшого размера

Wch353

cdn.zecar.ru