Skip to content

Фотогалерея

  • Главная
  • Контакты

Sci 9909 018

SCI-9909-012 datasheet(1/1 Pages) APITECH | High temperature construction

Sci Fi Character Art, Cyberpunk Character, Sci Fi Characters, Character ...

SCI-9909-016现货供应价格中文资料-114ic电子网

018

018 | EIGHT TOOL

Sci-Fi Skin Diffusion Catalyst | Stable Diffusion Online

Sci-fi music background

2025 SCI Region I & II Conference – Society of Composers, Inc.

Preview Image

Sleep Counseling Professional Certification Course - Sleep Counseling ...

1698493645342 | PDF

SCI-9909-016现货供应价格中文资料-114ic电子网

#9909 - NUMBERING

SCI Labs Portfolio | Blockchain technology projects sponsored by SCI Labs

START-018 - KAV.XXX - Free KAV KBJ Porn Video Online

FM Surface 018 - Custom Backgammon

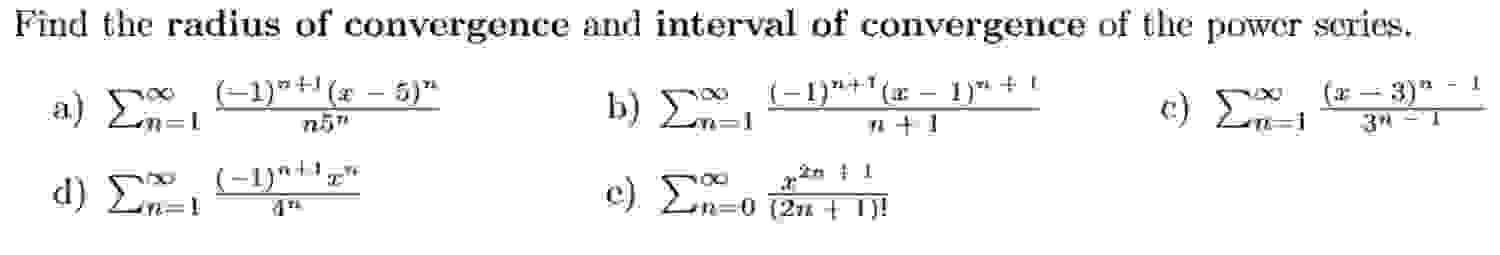
Solved Find the radius of convergence and interval of | Chegg.com

KRIZ-018 | Willi Hats Heaven - Ekskluzywne nakrycia głowy

EZI-018 | Willi Hats Heaven - Ekskluzywne nakrycia głowy

NUMBERING 넘버링

Senet an ancient Egyptian game by Carlos Vlchez Domnguez

C-001

ARIS-018 | Willi Hats Heaven - Ekskluzywne nakrycia głowy

9909-20-21 | ALERT Digital Media | Flickr

ARI-018 | Willi Hats Heaven - Ekskluzywne nakrycia głowy

PURIS-018 | Willi Hats Heaven - Ekskluzywne nakrycia głowy

018

DIERES-018 | Willi Hats Heaven - Ekskluzywne nakrycia głowy

Sci-fi hallway on Craiyon

Sci-fi music background on Craiyon

Strom | (9909) | APM - Photography | Flickr

SOM-018 | Willi Hats Heaven - Ekskluzywne nakrycia głowy

KEMIS-018 | Willi Hats Heaven - Ekskluzywne nakrycia głowy

KEMISIS-018 | Willi Hats Heaven - Ekskluzywne nakrycia głowy

OTISES-018 | Willi Hats Heaven - Ekskluzywne nakrycia głowy

  • Вперед Насадка на пылесос универсальная
  • Назад Вся химия в таблицах и схемах для егэ

Новые страницы

14N60

2115 Габариты

Адаптация сцепления королла робот

Анализ стихотворения две строчки твардовский по плану

Бригада электромонтажников

Что означают цветные полоски на резине

Гдз по русскому языку 6 класс номер 302

И мнится в том уединеньи сокрылся некто неземной синтаксический разбор

Как выглядит рак кожи

Лампочки для фонарика

Мужское облысение лечение

Образец написания характеристики на работника для награждения

Ответ на досудебную претензию по договору оказания услуг образец

Ответ в налоговую о невозможности явиться для дачи пояснений образец

План фхд бюджетного учреждения на 2023 год образец заполнения новая форма

Почему он и пенал разные части речи 2

Признаки неисправности бендикса

Р11001 образец

Рено меган болячки

Sci 9909 018

Схема электропроводки ваз 2121

Скуд и сот что это

Составь предложения по схеме класс

Средняя линия трапеции параллельна основаниям и равна их произведению верно или

Страница учебника по математике 5 класс

Тренировочный вариант 10 математика егэ

Туманной синью

Упражнения для тренинга педагогов

Ваз 2114 как поднять педаль сцепления

Виды земной коры схема

cdn.zecar.ru