Skip to content

Фотогалерея

  • Главная
  • Контакты

Самоделки на atmega8

Часы на Atmega8 и LCD продолжение - YouTube

Отладочная плата для ATmega8 DIP, минипост | Пикабу

Как заменить ATmega328 на ATmega8? - YouTube

Отладочная плата для ATmega8 DIP, минипост | Пикабу

Часы на ИН-16 ATmega8 (Arduino IDE) | Пикабу

Unveiling the ATmega8 Microcontroller: Features and Applications

Buy Reland Sun 2PCS ATMEGA32A-PU ATMEGA8-16PU ATTINY2313A-PU ATMEGA16A ...

Counter on Atmega8 + PCB design | Freelancer

ATMEGA8 28PIN at Best Price in Chennai | Sensor Embedded

ATMEGA8A-PU ATMEGA8L-8PU ATMEGA8-16PU ATMEGA8-16PI单片机DIP_虎窝淘

ATMEGA8 datasheet(76/303 Pages) ATMEL | 8-bit AVR with 8K Bytes In ...

Отладочная плата для ATmega8 DIP, минипост | Пикабу

ATMEGA8/48/88/168/328 Project Kit – Fares PCB

Частотомер на Atmega8: характеристики, особенности применения

Jual IC ATmega8 SMD ATmega8-AU ATmega8A AU SSOP | Shopee Indonesia

Тестер полупроводниковых приборов на ATMega8 | RadioNic.ru

ATMEGA328 / ATMEGA8 Breakout Board PCB – QuartzComponents

Часы с будильником на Atmega8 | Скачать чертежи, схемы, рисунки, 3D ...

Atmega8 Frequency counter | Leniwiec - EE & IT blog

Отладочная плата для ATmega8 DIP, минипост | Пикабу

Cистемная Плата Atmega8 Atmega48 Atmega88 AVR Набор DIY Board (15027 ...

Atmega8 là gì? Sơ đồ chân, ứng dụng và cách sử dụng – Điện tử sáng tạo VN

1 Мгц на atmega8 - AVR - Форум по радиоэлектронике

Jual IC Atmel Atmega AT Mega 8 SMD Atmega8 Chip AVR Micro Controller uC ...

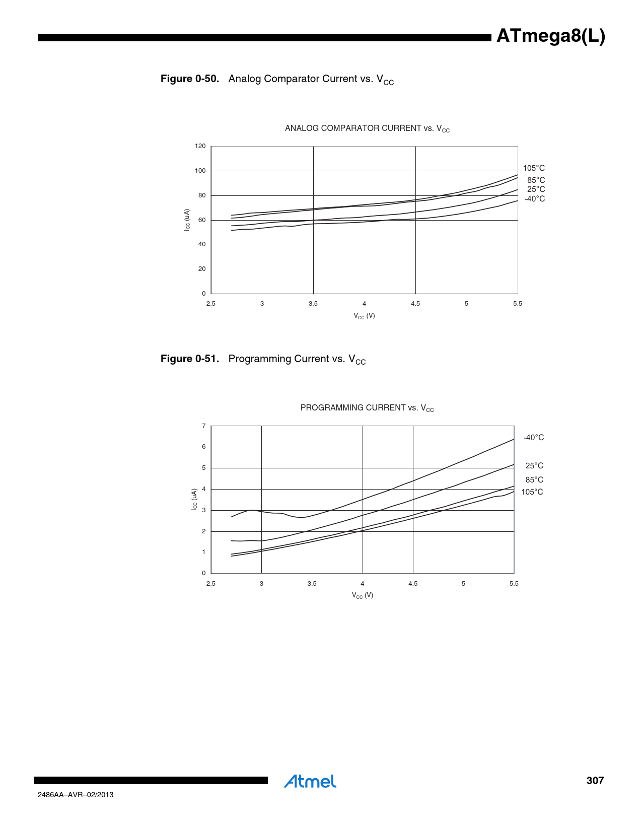
ATmega8(L). Figure 0-50. Figure 0-51. 307 - Datasheet ATmega8, ATmega8L ...

an electronic circuit diagram showing the control panel, and other ...

ATMEGA8-16PU MICROCHIP Embedded Processors & Controllers - Jotrin ...

ATmega8(L). Figure 0-6. Figure 0-7. 285 - Datasheet ATmega8, ATmega8L Atmel

‫مشخصات، دیتاشیت، قیمت و خرید ATMEGA8-16PU‬

[ATmega8] tqfp32 smd płytka prototypowa - elektroda.pl | Enamel pins ...

ATmega8(L). Figure 0-24. Figure 0-25. 294 - Datasheet ATmega8, ATmega8L ...

ATmega128 (아트메가128) - 특징.핀구조.사용법 - 한국전자기술

ATmega8(L). Figure 0-2. Figure 0-3. 283 - Datasheet ATmega8, ATmega8L Atmel

Микросхема ATMEGA8A U-TH ( ATMEGA8-16AU , ATMEGA8A-AU , ATMEGA... - 167 ...

Частотомер на atmega8. Частотомер на базе микроконтроллера ATmega8 ...

  • Вперед Схема амфитон 002
  • Назад Дизайн проект мансарды с двускатной крышей

Новые страницы

Банк йошкар ола школьная карта питание личный кабинет

Букет из шаров на день рождения мужчине

Через можно идти на тренировку

Что значит категория б в военном билете

Eberspacher ford transit распиновка разъема

Есенин кукрыниксы

Еврейский юмор в картинках с надписями

Гдз по математике 6 класс упр 367

Гильзовка блока цилиндров в самаре

Казанский вокзал поезда дальнего следования

Манометр мп 50

Музыка для фитнеса и аэробики зажигательная

Музыкальный проект имена на все времена

Найти плиточника в москве недорого

Огэ русский язык 9 класс тренировочные варианты

Первый шаг планирования проекта устанавливающий связи между планом проекта и потребностями заказчика

Письмо о взаимозачете по договорам образец

Почему в барометрах основанных на трубке торричелли используется ртуть а не вода

Прохождение игры машинариум в картинках пошаговая инструкция на русском языке

Психолого педагогическое представление на пмпк для ребенка школьного возраста образец

Распиновка блока предохранителей лада гранта

Ремонт фотонов в москве

Схема грм умз 4216

Спорт winline

Студия тритэ

Установить винтовые сваи

Виды рекламы в интернете

Викимапия карта саратовской области

Влажный пар в бане как сделать

What do you do at weekends

cdn.zecar.ru