Skip to content

Фотогалерея

  • Главная
  • Контакты

Решите неравенство 2x 3 1

Решите уравнение:1) 3^(2x+1)-10·3^x+3=0; 2) 2^(3-2x)-3·2^(1-x)+1=0; 3 ...

(Решено)Упр.32.3 ГДЗ Мерзляк 10 класс по алгебре Базовый уровень

Решите неравенства.

Решение неравенств x 2 x 1 – Telegraph

Сможешь решить неравенство? Знаменатель - квадрат - YouTube

Математика Решите неравенство log((3x-1)/(x+2)) (2x^2+x-1) больше или ...

Математика Решите неравенство (x^2-2x+1)/((x+2)^2) +(x^2+2x+1)/((x-3)^2 ...

Решите неравенство 2^(1+2х-х^2 ) -3 больше 3 /(2^(2х-х^2 )-2) - YouTube

Решите неравенство: 3^x?2^(x^2) ? Быстрый способ решения - YouTube

Решить неравенство (2x+1-6/x)(28/(x+2)-2+(sqrt(-3-2x))^2) больше или ...

Решите неравенство (x^2-x+1)/(x-1) + (x^2-3x-1)/(x-3) меньше или равно 2x+2

Решите неравенство (9*5^(x^2))^(1/x) - 50(5*3^(1/x))^(x-2) ? 5^x

Ответы Mail.ru: решите неравенство X^2-4x+3больше или равно 0 2. (x-1 ...

Решите неравенство x?-4x+3?0.

Решите неравенство пожалуйста.

Решите неравенство графически: а) 2x^2 - 13х + 6 0; в) 3x^2 — 6х + 32 ...

Решить систему линейных неравенств: 5x+13?0, x+5?1

Ответы Mail: Решите неравенство 2x^2-6x+4

решите неравенство

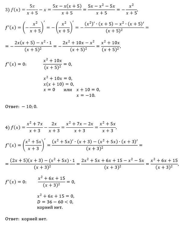
Решите Неравенство нужно только 3 и 4

1.2. Решите неравенство:

Решите логарифмическое неравенство

(Решено)Упр.163 ГДЗ Мерзляк 9 класс по алгебре

  • Вперед Спортлото 5 из 36
  • Назад Компрессия двигателя шевроле нива

Новые страницы

3230M i5

Ара перевод с армянского

Цены на отдых в оленевке

Что значит катушка

Contrinex

Договор на аренду машины с физическим лицом образец

Дроби которые можно представить в виде десятичных дробей

Fuel level too low пежо 308 перевод

Как поднять кузов на уаз буханка

Картинка посторонним вход воспрещен табличка

Картинки для вас от души

Кнд 1110310 доверенность образец заполнения

Кулаков юрий

Лечение аллергической реакции

M m s sports

Метро спб схема с новыми станциями 2020

Музей паровозов на рижском вокзале

Обратный клапан ду15

Образец заполненного трудового договора

Опель омега распиновка предохранителей

Откуда не возьмись из травы лисица

Пентест заказать

Проводка 2105

Схема подключения электроусилителя руля калина 1

Спортмастер воткинск каталог

Тату латы на руке мужские эскизы

Вкладыш в трудовую книжку образец заполнения

Вот спасибо хорошо положите на комод картинки прикольные смешные

Замок навесной изображение

Журнал карта регистрации результатов температурного картирования хранится в течение тест

cdn.zecar.ru