Skip to content

Фотогалерея

  • Главная
  • Контакты

Реостат изготовлен из никелиновой проволоки

Реостат, изготовленный из никелиновой проволоки сечением 2,5 мм2 и ...

Реостат (лабораторный) своими руками из гггг и палки - YouTube

Определите сопротивление никелиновой проволоки длиной 4 м и площадью ...

Физика Реостат сопротивлением 21 Ом изготовлен из никелиновой проволоки ...

Определите массу никелиновой проволоки площадью поперечного сечения 1 ...

Определите плотность никелиновой проволоки площадью поперечного сечения ...

Физика Два куска проволоки одинакового размера, изготовленные из меди и ...

Реостаты. Резистор - презентация онлайн

Реостаты. Резистор - презентация онлайн

Задание № 4 Реостат изготовлен из нихромовой проволоки длиной 3 ми ...

Реостат (мини) РС-25 60oм N10 авиа купить в Москве цена 150 Р на ...

Ответы Mail.ru: Требуется изготовить реостат на 20 Ом из никелиновой ...

В электронагревателе нихромовую проволоку площадью поперечного сечения ...

Стеллаж из проволоки своими руками - 97 фото

Реостат - stoom

Виды строения проводников. Тестовые задания - презентация онлайн

Мощность, потребляемая реостатом, равна 30 Вт, напряжение на его концах ...

50. Чему равно сопротивление лампы накаливания, если при напряжении 120 ...

1328. В спирали электронагревателя, изготовленного из никелиновой ...

(Решено)Упр.776 ГДЗ Рымкевич 10-11 класс по физике Вариант 1

52. Спираль электрической плитки изготовлена из нихромовой проволоки ...

Задание № 50 Реостат изготовлен из никелиновой проволоки длиной 40 ми ...

Задание № 41 Сколько метров никелиновой проволоки сечением 0,2 мм2 ...

813. Реостат изготовлен из константановой проволоки длиной 20 м и ...

1321. Обмотка реостата, изготовленная из никелиновой проволоки, имеет ...

Задание № 4 Требуется изготовить реостат на 20 Ом из никелиновой ...

1335. Какой длины надо взять железную проволоку площадью поперечного ...

Задание № 51 Два проводника сопротивлением 5 и 20 Ом соединены ...

(Решено)Упр.1321 ГДЗ Лукашик 9 класс по физике с пояснениями

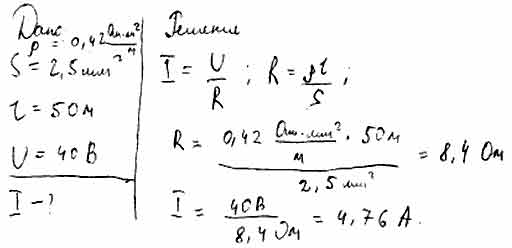
1318. Определите силу тока, проходящего через реостат, изготовленный из ...

  • Вперед Гдз по математике страница 74 номер 3 часть 2
  • Назад Гдз по русскому языку 5 класс учебник 2 часть

Новые страницы

Amt630a

Авто калина спорт

Эскизы тату ангела и демона

Физика 9 класс перышкин учебник 2014

Гдз 7 класс русский язык зеленый учебник

Гдз по алгебре 9 класс мордкович 2021 год

Гдз по русскому языку вторая часть четвертый класс канакина учебник

Храм в ставропольском крае

Как слить тосол на ваз 2114

Как стать фрилансером

Карта осадков старожилово рязанской области

Карта республики адыгея с населенными пунктами подробная

Картинка на торт паспорт 14 лет распечатать

Марадыково

Меняю 2 комнатную квартиру на дом

На представленной схеме электрической цепи

Патрон розетка е27

План работы по воинскому учету образец

Реостат изготовлен из никелиновой проволоки

Схема рисунка рук

Схема тормозной системы без абс

Сочинение на тему март

Транзистор mje13005 характеристики

Тренировочные работы 9 класс

Удаление сажевого фильтра газель

Ваз 2114 длина

Взаимовыручка изложение

Замена масла в акпп hyundai i40

Заявление на отключение услуг ростелеком образец

Звенигород ритуальные услуги

cdn.zecar.ru