Skip to content

Фотогалерея

  • Главная
  • Контакты

При облучении плутония 242 94 pu ядрами неона 22

Плутоний 242 – Telegraph

Плутоний - Периодическая Таблица

Химия и Химики № 3 2012. Плутоний - фотографии

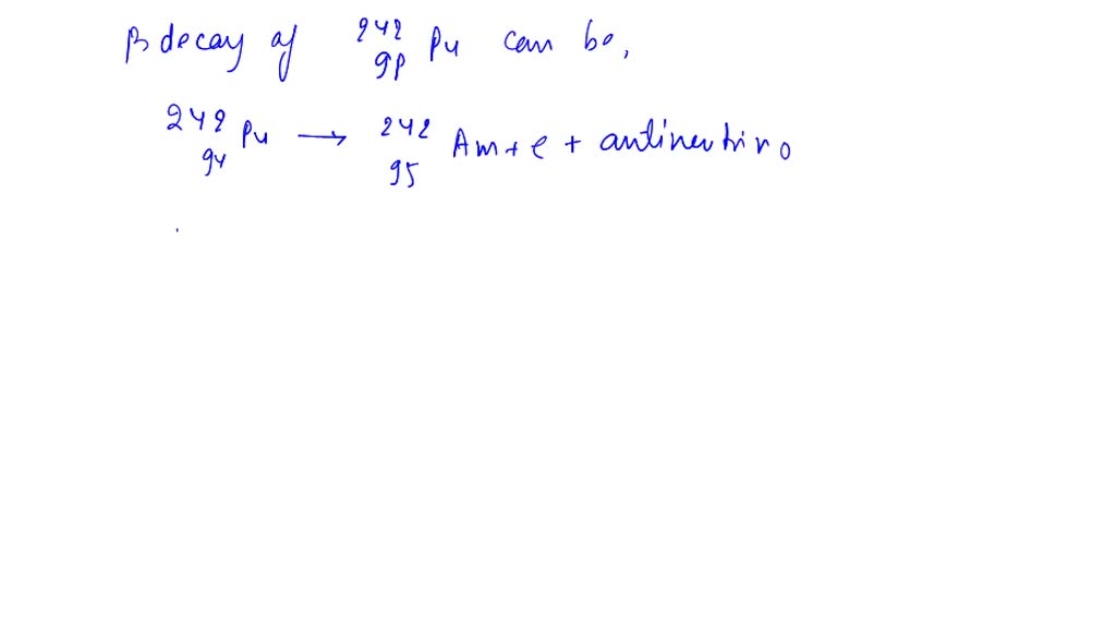
If ^24294 Pu decays via beta decay, what nucleus is produced? If it ...

Solved nuclide mass 239. 94 Pu 239.0522 u 24 Pu 241.0569 u | Chegg.com

Plutonium-242 - isotopic data and properties

Poster «Tabla periodica elemento numero 94 Pu plutonio» de ...

Pu 244 - Radioactive Plutonium Isotope Stock Image - Image of safety ...

Plutonium-242 decays to uranium- 238 by emission of an ?particle with ...

Интересные факты про плутоний. Интересно знать

Плутоний - Галерея - ВПК.name

Химический элемент Дубний: свойства и применение

(Решено)Параграф 55 ГДЗ Рабочая тетрадь Перышкин 9 класс по физике

1388. Элемент резерфордий получили, облучая плутоний 94242Pu ядрами ...

(Решено)Параграф 55 ГДЗ Рабочая тетрадь Перышкин 9 класс по физике

(Обновлен)Задание ЕГЭ 2 Параграф 80 ГДЗ Мякишев 11 класс по физике 2020 ...

(Решено)Упр.1214 ГДЗ Рымкевич 10-11 класс по физике Вариант 1

Презентация на тему: "Красноярск, 2013 Асанова Анастасия Андреевна ...

(Решено)Упр.1214 ГДЗ Рымкевич 10-11 класс по физике Вариант 1

1182. Элемент резерфордий получили, облучая плутоний 24294Pu ядрами ...

Презентация на тему: "Цепные ядерные реакции.". Скачать бесплатно и без ...

Презентация на тему: "Получение плутония и его свойства U 238 +n (? -,T ...

Презентация на тему: "Получение плутония и его свойства U 238 +n (? -,T ...

Презентация на тему: "Получение плутония и его свойства U 238 +n (? -,T ...

Презентация на тему: "Получение плутония и его свойства U 238 +n (? -,T ...

Презентация на тему: "Получение плутония и его свойства U 238 +n (? -,T ...

Тритий также образуется в активной зоне атомных реакторов при облучении ...

Презентация на тему: "Получение плутония и его свойства U 238 +n (? -,T ...

Презентация на тему: "Ядерная энергетика. Ядерная энергетика это ...

Ядерный взрыв PNG

Иллюстрация 9 из 13 для Плутония - Владимир Обручев | Лабиринт - книги ...

Ядерный взрыв PNG

Ядерный взрыв PNG

  • Вперед Схема альмера классик
  • Назад Индипицца

Новые страницы

Боинг 737 макс 8 схема

Диоксид хрома

Электроэпиляция плюсы и минусы

Флаг конфедерации сша

Гдз по английскому 8 класс афанасьева михеева учебник углубленный

Главный герой чудик

Как нарисовать страуса карандашом поэтапно для детей

Как понизить уровень пролактина у мужчин

Какую форму область духовной культуры представляют изображения впр 8

Калининград картинки с надписью

Картинка адидас на телефон на черном фоне

Креативный тренинг

Математика четвертый класс вторая часть книга

Математика шестой класс номер 776

Монтажные и пусконаладочные работы

Налет под крышкой маслозаливной горловины

Не скрываясь слитно или раздельно

Ответ на приглашение на собеседование образец

Плавный пуск асинхронного электродвигателя схема

Поверка измерительного инструмента

При облучении плутония 242 94 pu ядрами неона 22

Приора не сбрасывает обороты

Рисунок девушки пол лица

Рыжие и море

Схема котика в шапке

Схема ms6812

Услуга трактора

Выбрасывает антифриз

Выкуп кабеля

Журнал регистрации и учета испытаний лестниц приставных стремянок образец заполнения

cdn.zecar.ru