Skip to content

Фотогалерея

  • Главная
  • Контакты

Осуществить цепочку превращений s so2 so3 h2so4 na2so4

Напишите уравнения реакций, с помощью которых можно осуществить ...

Процессу окисления соответствует схема превращения h2so4 so2 h2s s

Решить цепочку FeS-H2S-S-SO2-SO3-H2SO4

Осуществить превращения: S -> SO2 -> SO3 -> H2SO4 -> BaSO4 — Вкус ГДЗ

Осуществить превращения: S -> SO2 -> SO3 -> H2SO4 -> BaSO4 — Вкус ГДЗ

Осуществить превращения: S -> SO2 -> SO3 -> H2SO4 -> BaSO4 — Вкус ГДЗ

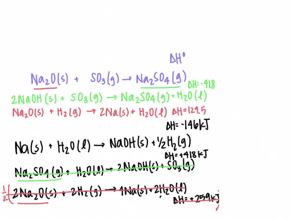
SOLVED: Calculate delta Ho for the rxn: Na2O (s) + SO3 (g) –> Na2SO4 (g ...

So d? chu?i ph?n ?ng S > SO2 > SO3 > H2SO4 - svnckh

Hoan thanh so d? chu?i ph?n ?ng hoa h?c: S -> SO2 -> SO3 -> H2SO4 ...

Hoa h?c L?p 9: Hoan thanh chu?i ph?n ?ng sau: ( ghi r? di?u ki?n ph?n ...

Ответы Mail.ru: s- h2s- so2- so3- h2so3. Осуществить цепочку превращений!

3. Расшифруйте следующую цепочку превращений. Назовите соединения А, Б, В.

Помогите осуществить цепочку превращений : Метаналь>>Метанол>>Метаналь ...

Решение химических цепочек по фото

Ответы Mail: Осуществить цепочку превращений: S->SO2->SO3->H2SO4->ZnSO4

  • Вперед Рассмотрение трудового спора примирительной комиссией
  • Назад Не работаешь жить не на что работаешь жить некогда картинки

Новые страницы

Амвросий оптинский картина

Cd чейнджер распиновка разъема

Embraer 170 схема расположения мест в самолете s7

Горный компас устройство и приемы работы изображение данных замеров на геологических картах

Используя ключевые слова параграфа постройте основу схемы

Известные спорты россии

Как выставить зажигание на шевроле нива

Кфс меню ставрополь

Математика 6 класс виленкин номер 1461

Мост от москвича 412

Новый мост в перми

Объявление требуется продавец консультант образец

Одноэтажные современные дома из кирпича проекты

Охота с иж 94 север

Отделка фасада под камень

Отель ростовчанка

Протерм пантера 25 kto

Решак 8 алгебра

Русский инди рок

Сантехника в тюмени

Схема классы веществ

Схема коробки из картона с размерами

Схема проезда на общественном транспорте

Смайлик дружба картинки

Сплит настрой

Спортивная стиль 90х

Stepik бесплатные курсы

Стрижка ши тцу

Тамагочи старого образца

В каком виде спорта ответ

cdn.zecar.ru