Skip to content

Фотогалерея

  • Главная
  • Контакты

Определите удельную энергию

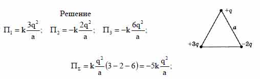
Определите полную потенциальную энергию системы зарядов. - Универ soloBY

Дефект масс, энергия связи атомных ядер (решение задач) - YouTube

Физика 8 класс. Решение задач на «Расчет количества теплоты ...

Нагретый камень массой 5 кг, охлаждаясь в воде массой 2 кг на 4 °C ...

Найдите энергию связи изотопа ядра бора. Определите удельную энергию ...

42. Что понимается под скоростью реакции? Какие факторы влияют на ...

Радиус-вектор материальной точки изменяется со временем по закону r ...

1700*. Определите удельную энергию связи ядра атома лития 73Li.

1700*. Определите удельную энергию связи ядра атома лития 73Li.

3. Рассчитайте удельную энергию связи ядра атома лития (mа = 7,017601 а ...

Ответы Mail: Чему равна удельная тепловая мощность тока..

Определите энергию фотона, соответствующего длине волны ? = 5,0? 10–7 м.

Задача № 85. Определите полную механическую энергию камня массой 20г ...

1701*. Определите, вычислив удельную энергию связи, какое из ядер ...

1701*. Определите, вычислив удельную энергию связи, какое из ядер ...

(Решено)Упр.1701 ГДЗ Лукашик 9 класс по физике с пояснениями

Задача № 166. Рассчитайте количество теплоты, которое выделяется или ...

(Решено)Упр.1030 ГДЗ Лукашик 8 класс по физике с пояснениями

Для расплавления сплава затрачено 100 кДж энергии, определите его ...

Для расплавления сплава затрачено 100 кДж энергии, определите его ...

Ответы Mail: Рассчитайте дефект массы, энергию связи и удельную энергию ...

  • Вперед В плавках стрингах на пляже
  • Назад Аппликация строим дом в средней группе

Новые страницы

Аккорд дм7 на гитаре схема

Автосервис в глазове

Белла ахмадулина

Дело ярославских сатанистов

Домашние жиросжигающие тренировки для женщин

Фиат альбеа замена радиатора печки

Гдз по математике 5 класс мерзляк учебник номер 999

Город генуя в италии

Как избавиться от тиннитуса

Как отполировать лобовое стекло

Как поэтапно нарисовать путина карандашом поэтапно для начинающих

Какие улицы площади учреждения носят имя м в ломоносова в казани

Картина детская спортивная школа сочинение репортаж

Король франции генрих

Леруа мерлен омск ламинат

Официальный сайт bosch в россии

Паджеро спорт 2014

Приглашение на день рождения девочки образец

Публичная кадастровая карта таштагольского района

R650 rothenberger

Размерность дисков логан

Ремонт квартир в орле

Рисунки женской груди

Шкафы купе в санкт петербурге от производителя

Сохондинский заповедник забайкальского края презентация

Стоимость схемы расположения

Таблица вид спорта

Театр модерн купить билеты

Токарно винторезный станок 16в20

Устройство отопителя 2110

cdn.zecar.ru