Skip to content

Фотогалерея

  • Главная
  • Контакты

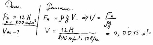
Определите объем куска меди который при погружении в керосин выталкивается силой 160 н

Определите объём железной гайки, если при погружении в керосин ее вес ...

Определите объем куска алюминия, на который в керосине действует ...

Физика Два куска проволоки одинакового размера, изготовленные из меди и ...

Объём куска меди равен 3 дм^3. Вычисли, какая выталкивающая сила будет ...

(Обновлен)Задание 6 Параграф 54 ГДЗ Мякишев 10 класс по физике

Ответы Mail.ru: Определите объём железной гайки если при погружении в ...

364. Тело выталкивается водой с силой в 50 Н. Определите объем ...

4 Определите объем водорода (н.у.), который потребуется для замещения ...

Задание № 74. Определите выталкивающую силу, которая действует на тело ...

652. Было установлено, что при полном погружении куска меди в керосин ...

Полый алюминиевый шарик, подвешенный на нити, опускают в керосин. Когда ...

Задание № 10. Кусок угля прикреплен к крючку динамометра и опущен ...

Задание № 3. Объем куска железа 0,1 дм3. Какая выталкивающая сила будет ...

(Решено)Упр.652 ГДЗ Лукашик 7 класс по физике с пояснениями

Определите площадь поперечного сечения и длину медного проводника, если ...

(Решено)Упр.727 ГДЗ Рымкевич 10-11 класс по физике Вариант 1

задачи

(Решено)Ответы на вопросы §51 ГДЗ Перышкин 7 класс по физике

Презентация на тему: "Определение объема тела. Лабораторное занятие в 7 ...

Задание № 10. Кусок угля прикреплен к крючку динамометра и опущен ...

Презентация на тему: "Блиц – опрос по архимедовой силе - Одинаковы ли ...

476. Из куска олова массой 356 г и куска меди массой 438 г сделали ...

В цилиндрический сосуд с площадью сечения s=50 см2 налиты керосин ивода ...

  • Вперед Схематически изобразите график функции у х 4
  • Назад Сколько стоит картинг в москве цены

Новые страницы

Акт проверки образец

Аквапарк на завертяева

Артроз коленного сустава симптомы и лечение

Гдз по англ язу 8

Инфаркт миокарда без подъема сегмента st презентация

Как писать заявление в полицию о мошенничестве с деньгами образец

Как подключить противотуманки на логане

Как правильно оформить благодарность образец

Как сказал журналист что трех моих жизней не хватит чтобы исчерпать тему байкала

Какие имена существительные не склоняются

Какой диаметр штока амортизатора

Магния сульфат раствор для инъекций

Недостатки туарег

О чем мечтает лука

Определите объем куска меди который при погружении в керосин выталкивается силой 160 н

Первая машина мерседес

Писатель шишков

Подключение кнопки на противотуманки

Подсветка приборной панели калина

Польза изотоника во время тренировки

Приложение для ставок на спорт на айфон

Прометей клуб вологда

Словарное слово москва в картинках 1 класс

Снятие торпедо солярис

Спортивный зал недорого

Стр 102 литературное чтение 3 класс

Сзв тд увольнение образец заполнения

Табличка на частный дом

Транзистор кт972

Учебник по русскому 3 класс 2 часть школа россии онлайн

cdn.zecar.ru