Skip to content

Фотогалерея

  • Главная
  • Контакты

Окраска метилоранжа в растворе азотной кислоты

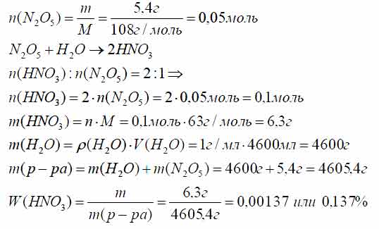
В 4.6 л воды растворили 5,4 г оксида азота (V). Какова массовая доля ...

Изменение окраски индикаторов (лакмус, метилоранж, фенолфталеин) в ...

Задание 33. ЕГЭ 2022 по химии (Задание 34. Вариант 8. Пробный ЕГЭ по ...

Окраска индикаторов (лакмус, метилоранж, фенолфталеин) в водном ...

Рассчитайте сколько миллилитров раствора азотной кислоты с массовой ...

8. Каков цвет метилоранжа в водном растворе хлорида алюминия?

(решено)Параграф 12 Вопрос 8 ГДЗ Еремин Кузьменко 9 класс по химии

(Решено)Вопрос 3 Параграф 29 ГДЗ Рудзитис 9 класс по химии

Ответы Mail: В пробирку внесли 5 капель серной кислоты и 2 капли ...

(Решено)Вопрос 3 Параграф 29 ГДЗ Рудзитис 9 класс по химии

15*. МИГУ96. Для нейтрализации 20,5 г гидроксида кальция пошло 560 мл ...

Реакция меди и концентрированной азотной кислоты. В результате ...

Презентация на тему: "Вещества ПростыеСложные МеталлыНеметаллы ...

Ответы | Лаб. 3. Действие кислот на индикаторы — Химия, 7 класс | Супер ...

Получение метилоранжа (гелиантин) Один из простейших азокрасителей ...

Ответы | Лаб. 3. Действие кислот на индикаторы — Химия, 7 класс | Супер ...

3. Какой объем газа (н. у.) выделится, если к раствору, содержащему 53 ...

10. Рассчитайте массу меди, вступившей в реакцию с избытком ...

Число недиссоциированных молекул в растворе азотной кислоты равно 80 ...

Презентация на тему: "Кислоты Самостоятельная работа по теме ...

Ответы Mail: синюю окраску лакмус имеет в растворе 1)соляной кислоты 2 ...

Возможность ликвидации окислов азота в окислительной и ...

6. Запишите уравнение реакции «серебряного зеркала» с участием метаналя ...

Азотная кислота, подготовка к ЕГЭ по химии

4 Рассмотрите уравнения реакций разбавленной и концентрированной ...

Получение азотной кислоты - презентация онлайн

Презентация на тему: "Загадка. Тучна, масляниста, имеет большую ...

  • Вперед План гостиного двора москва
  • Назад Классический массаж тела

Новые страницы

258 4 Класс математика

Адвокаты занимающиеся частной практикой

Автосервис железяка балашиха

Герберт маркузе одномерный человек

Гистерэктомия с придатками

Группа браво альбомы

Как подключить реле зарядки

Как поменять фары на ваз 2114

Какие моря омывают норвегию карта

Компактный теплосчетчик пульсар

Логотип с рыбой

Ноутбук емашинес

Окраска метилоранжа в растворе азотной кислоты

Онлайн калькулятор сопротивлений

Порядок и сроки обучения лиц мерам пожарной безопасности в 2022 году образец

Повысительный насос grundfos

Просторная терраса дачи была очень ярко освещена лампой

Распиновка кабеля мотор колеса бафанг

Реле abb 220в

Rm l999 1

Русский язык 3 класс виноградова рабочая тетрадь

Сборка компьютера в калуге

Схема тормозных трубок ваз 2115 от главного цилиндра

Сломалась ручка на двери как починить

Смотреть пила 5

Спортивная школа 6 кострома

Срок подачи декларации при продаже квартиры

Строение клетки схема 5

Вентиль 15б1п

Запишите итоговое уравнение фотосинтеза

cdn.zecar.ru