Skip to content

Фотогалерея

  • Главная
  • Контакты

Найти площадь правильного двенадцатиугольника вписанного в окружность радиуса 4

Геометрия Сторона равностороннего треугольника, вписанного в окружность ...

Формулы для вычисления площади правильного многоугольника, его стороны ...

Формулы для вычисления площади правильного многоугольника, его стороны ...

Геометрия Центр окружности, вписанной в равнобедренный треугольник ...

Трапеция и вписанная окружность - YouTube

Задание 24 Радиус окружности вписанной в прямоугольный треугольник ...

Найдите площадь правильного треугольника внутри квадрата - YouTube

Найдите площадь правильного двенадцатиугольника, вписанного в ...

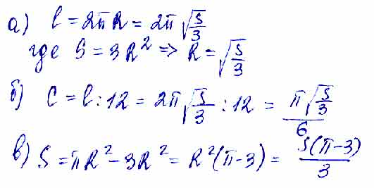
Площадь правильного двенадцатиугольника равна S. Найдите: а) длину ...

Геометрия Найти площадь круга вписанного в прямоугольный треугольник ...

Геометрия Найти площадь квадрата, вписанного в правильный треугольник ...

Геометрия Сторона квадрата, вписанного в окружность, равна a. Вычислить ...

Геометрия Найдите площадь правильного треугольника, вписанного в ...

Чертеж окружности описанной около треугольника

1134 Диагонали А1А4 и А2А7 правильного десятиугольника A1A2...A10 ...

Правильный многоугольник

Как нарисовать вписанную окружность в тупоугольный треугольник

Площадь правильного двенадцатиугольника / Модели // Математические этюды

Площадь правильного двенадцатиугольника / Модели // Математические этюды

Площадь правильного двенадцатиугольника / Модели // Математические этюды

Площадь многоугольника - презентация онлайн

Формулы радиусов описанной и вписанной окружностей для правильных ...

Проект по геометрии на тему: «Формулы площадей треугольников ...

(Решено)Упр.856 ГДЗ Мерзляк Полонский 9 класс по геометрии

(Решено)Упр.521 ГДЗ Мерзляк Полонский 9 класс по геометрии

(Решено)Упр.14.22 ГДЗ Погорелов 7-9 класс по геометрии

Вписанная и описанная окружности - презентация онлайн

Формулы для вычисления площади правильного многоугольника его стороны

  • Вперед Вид плавания кроль
  • Назад Затяжка болтовых соединений гост

Новые страницы

250S

574 Гдз

Адаптация сцепления опель корса робот

Бисер чехия 60000

Ботек фитнес самара на димитрова

Детское одеяло схема

Гдз англ язык 4 класс рабочая тетрадь афанасьева

Гдз история россии 2 часть

Гдз по 5 класс биология

Георгин ямайка

Гиа математика тренировочный

Как часто заряжать аккумулятор автомобиля

Как одеться на свой день рождения

Как проводят глюкозотолерантный тест при беременности

Как снять аккумулятор на шевроле круз

Как запрашивать коммерческое предложение по электронной почте образец

Карта с названиями материков и частей света

Кассационная жалоба на решение апелляционного суда по гражданскому делу образец

Mac audio mpx 2500 схема

Микросхема ne555

Оао воронежская кондитерская фабрика

Оп 2 огнетушитель его характеристика

Ответы литературное чтение 4 класс 2 часть

Правописание блест блист

Приказ на представительские расходы образец

Провалилась педаль сцепления ниссан кашкай

Сетелем банк официальный сайт кредитный

Схема боинга 777 норд винд

Сколько стоит кадастровый план земельного участка

Степанова елена викторовна

cdn.zecar.ru