Skip to content

Фотогалерея

  • Главная
  • Контакты

Найдите отношение площади круга к площади вписанного в него квадрата правильного треугольника

Трапеция и вписанная окружность - YouTube

КАК НАЙТИ ПЛОЩАДЬ КРУГА? · Формула и примеры · Как измерить? Формула ...

Геометрия Найти площадь круга вписанного в прямоугольный треугольник ...

Геометрия Найти площадь квадрата, вписанного в правильный треугольник ...

История возникновения формул для площади круга и длины окружности ...

Геометрия Сторона квадрата, вписанного в окружность, равна a. Вычислить ...

Проект площадь круга - 81 фото

Найдите площадь круга, если площадь вписанного в окружность квадрата ...

Найти отношение площади круга к площади вписанного в него квадрата ...

Чертеж окружности описанной около треугольника

Как посчитать площадь фигуры в coreldraw

Площадь круга онлайн калькулятор

Как нарисовать вписанную окружность в тупоугольный треугольник

(Решено)Упр.14.56 ГДЗ Погорелов 7-9 класс по геометрии

(Решено)Упр.14.57 ГДЗ Погорелов 7-9 класс по геометрии

(Решено)Упр.686 ГДЗ Мерзляк Полонский 8 класс по геометрии

Формулы радиусов описанной и вписанной окружностей для правильных ...

9.12. Две равные хорды окружности образуют вписанный угол величиной 30 ...

(Решено)Упр.1117 ГДЗ Атанасян 7-9 класс по геометрии

Вписанная и описанная окружности - презентация онлайн

Формулы для вычисления площади правильного многоугольника его стороны

Периметр правильного треугольника, вписанного в окружность, равен 18 см ...

1132 Найдите отношение периметров правильного треугольника и квадрата ...

Презентация на тему: "Формулы для вычисления площади правильного ...

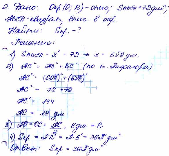
1117 Найдите площадь круга, вписанного: а) в равносторонний треугольник ...

1117 Найдите площадь круга, вписанного: а) в равносторонний треугольник ...

  • Вперед Математика 3 класс 66 страница номер 7
  • Назад Козлик машина

Новые страницы

7243

Антенна для ворот came своими руками

Биогеоценоз это 9 класс

Где в театре бельэтаж

Гдз по русскому номер 394

Горы в бишкеке

Горизонтальная разметка пешеходный переход

Химчистка замши в москве

Инвентарный журнал образец

Инвестирование это

Как снять радиатор кондиционера на ланосе

Канди ошибка е16

Корвет астрахань банкетный зал

Красная набережная в астрахани

Лада калина люфт руля

Муфта с наружной резьбой 32х1

Murrplastik

Найдите отношение площади круга к площади вписанного в него квадрата правильного треугольника

Ncp1399

Новостройки в санкт петербурге

Обоянь гостиницы

Олимпийские виды спорта на льду

Печать на термосе

Производственная инструкция по эксплуатации электроустановок образец

Расписка по алиментам образец

С днем рождения татьяна константиновна картинки

Схема переключателей освещения

Сколько стоит мерседес майбах

Сколько стоит утепление фасада минватой

Составить предложение по схеме осенний день

cdn.zecar.ru