Skip to content

Фотогалерея

  • Главная
  • Контакты

Na2s cr no3 3

K2cr2o7 K2so3 H2so4 Cr2 So4 3 K2so4 H2o - Margaret Wiegel

Cr2(SO4)3•n H2O

Cr(NO3)3 - Chromium(III) Nitrate Stock Image - Image of ennesup3 ...

Составьте молекулярные и ионно-молекулярные уравнения реакций ...

Составьте молекулярные и ионные уравнения реакций, происходящих в смеси ...

How to Write the Net Ionic Equation for NaOH + Al(NO3)3= NaNO3 + Al(OH ...

В реакции схема которой naclo3 na2s na2so4 nacl окислителем является ...

Напишите уравнение гидролиза в молекулярной и ионной форме для ...

Can b?ng phuong trinh Al + HNO3 > Al(NO3)3 + NO + H2O

Resonance Structure No3 - FranklinsrGood

Al(NO3)3 Na2S: Kham Pha Ph?n ?ng Hoa H?c D?y Thu V? va ?ng D?ng Th?c Ti?n

SOLVED: Write the ionic equation and the net ionic equation for: AgNO3 ...

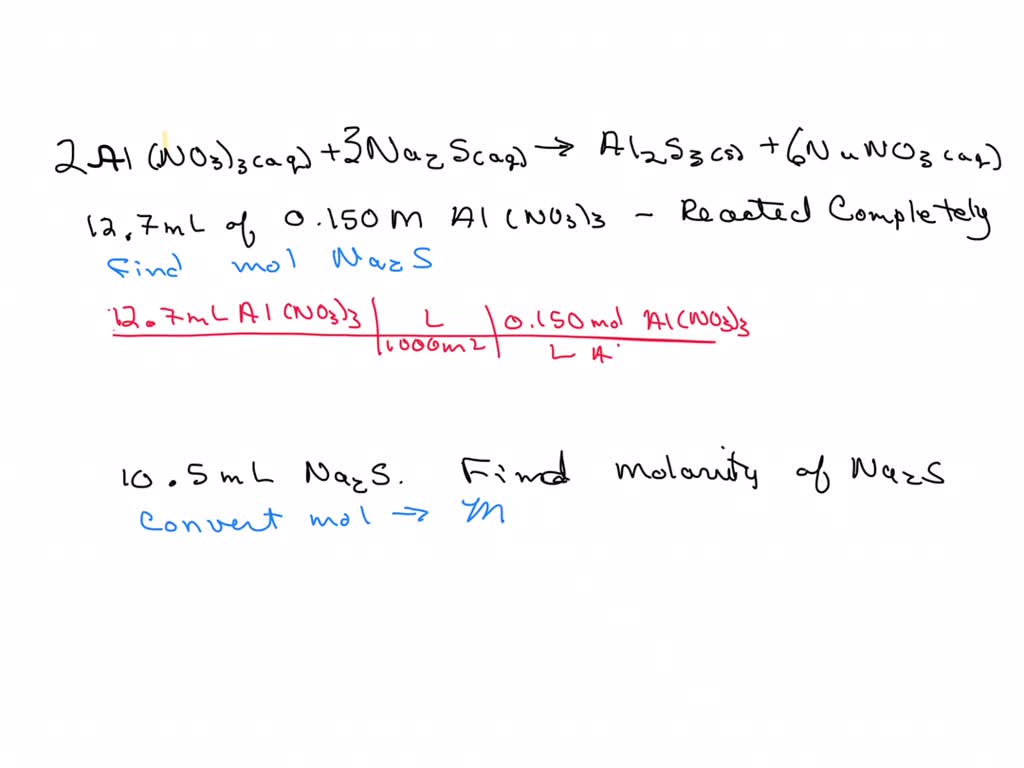
SOLVED: In a precipitation reaction between Al(NO3)3(aq) and Na2S(aq ...

Al + HNO3 > Al(NO3)3 + N2 + N2O + H2O | Al ra Al(NO3)3, N2, N2O

pH of treated COPR I. Single reduction process. Na2S/Cr(VI) mass ratio ...

Ответы Mail.ru: Составьте ионное и молекулярное уравнения совместного ...

Ответы Mail: почему при взаимодействии солей Al+3 и Cr+3 с Na2S ...

Составьте молекулярные и ионные уравнения реакций, протекающих между ...

Составьте ионное и молекулярное уравнение совместного гидролиза ...

Напишите молекулярное,полное и сокращенное ионное уравнение реакции 1 ...

Закончите уравнения реакций обмена, которые идут до конца: а) кон+н3ро4 ...

Какая из предложенных солей ZnSO4, Cr(NO3)3, Na2S гидролизуется по ...

Calculate the molarity of each of the following solutions: (a) 30 g of ...

Nitrate Ion NO3- Lewis Structure Animation - YouTube

How to Write the Name for Ni(NO3)2 - YouTube

Is Ca(NO3)2 (Calcium nitrate) Ionic or Covalent? - YouTube

How to balance Na2S(aq) + Cu(NO3)2(aq) > NaNO3(aq) + CuS(s) - YouTube

Is Cr(NO3)3 acidic, basic, or neutral (dissolved in water)? - YouTube

How to find the Oxidation Number for Cr in Cr(NO3)3 - YouTube

Does Sodium sulfide (Na2S) and Iron Nitrate (Fe(NO3)3) form a ...

What happens when Sodium sulfide (Na2S) and Iron(III) nitrate (Fe(NO3)3 ...

FeCl3+AgNO3=AgCl+Fe(NO3)3 Balanced Equation||Iron(iii)chloride+Silver ...

Metal hydroxides - Stock Image - A500/0419 - Science Photo Library

1) ___ NaNO3 + ___ PbO >___ Pb(NO3)2 + ___ Na2O 2) ___ AgI + ___ Fe2 ...

  • Вперед Жирная дочь горе в семье приколы
  • Назад Схема российской армии

Новые страницы

3 Пирога владикавказ

Активный трехполосный кроссовер схема

Автофорум саратов вольво

Биржа нефтепродуктов санкт петербург

Доброе утро картинки с мудрыми высказываниями о жизни

Физика 7 класс перышкин параграф

Гдз по окружающий языку 4 класс 2 часть учебник

Гдз русс 6 ладыженская

Готовое домашнее задание русский язык 1 класс канакина

Инструктор парашютного спорта

Иркутский национальный исследовательский технический университет

Какое масло заливать в хендай

Монтаж гипсовой колонны

Na2s cr no3 3

Неудачное удаление татуажа бровей лазером

Образец заявления в сад

Принципиальная схема индукционной плиты

Принципиальная схема металлоискателя

Резюме о приеме на работу образец

Сгон оцинкованный 3 4

Сменные панели для redmond

Спишите вставляя пропущенные знаки препинания и раскрывая скобки

Текст про весна

Установка капельного полива

Устройство стартера ваз 2108

Увеличение объектива 4 увеличение окуляра 10 какое увеличение дает данный микроскоп ответ

Увпр 120

Заниматься силовой тренировкой можно

Заявление на индексацию заработной платы образец

Заз 966

cdn.zecar.ru