Skip to content

Фотогалерея

  • Главная
  • Контакты

Мерзляк математика 6 класс читать

1128 - Математика 6 класс Мерзляк - YouTube

168 - Математика 6 класс Мерзляк - YouTube

№111. Математика 6 класс Мерзляк. - YouTube

№126. Математика 6 класс Мерзляк. - YouTube

Математика. 6 класс. Дидактические материалы. Мерзляк, Полонский, Якир ...

Номер 166 Математика 6 класс Мерзляк учебник ответы ГДЗ

Математика. 6 класс. Учебник. Мерзляк, Полонский, Якир | DNSIS ...

Гдз математика 6 класс мерзляк скачать pdf | Лучшие домашние задания РУнета

Дидактика 6 класс математика

Дидактика 6 класс математика

Учебники 6 класс читать онлайн скачать pdf

Скачать Математика. 6 класс. Методическое пособие, Е. В. Буцко, А. Г ...

Математика 6 Класс Мерзляк Учебник Решебник - librarycor

Номер 461 - ГДЗ по математике 6 класс Мерзляк, Полонский решебник с ...

Математика 6 класс самостоятельные работы мерзляк :: textsecwibe

Фото Учебника Мерзляк 6 Класс – Telegraph

Математика 6 класс мерзляк 15 – Telegraph

«Математика. 6 класс. Часть 1», Л. А. Александрова – скачать pdf на Литрес

гдз математика Мерзляк 6 клас

гдз математика Мерзляк 6 клас

Фото Учебника По Математике 6 Класс Мерзляк – Telegraph

Фото Учебника По Математике 6 Класс Мерзляк – Telegraph

Мерзляк Математика 6 класс Учебник Комплект НУШ - Учебники Математика 6 ...

Мерзляков Математика 6 Класс Учебник Гдз – Telegraph

Вправа 608 гдз математика 6 клас мерзляк

Мерзляк А.Г. Математика 6 класс Дидактические материалы | Якир Михаил ...

Купить Сборник задач и контрольных работ Математика 6 класс Мерзляк...

Купить Сборник задач и контрольных работ Математика 6 класс Мерзляк...

Збірник задач і контрольних робіт. Математика 6 клас (автори: Мерзляк ...

1081 - Математика 6 класс Мерзляк - YouTube

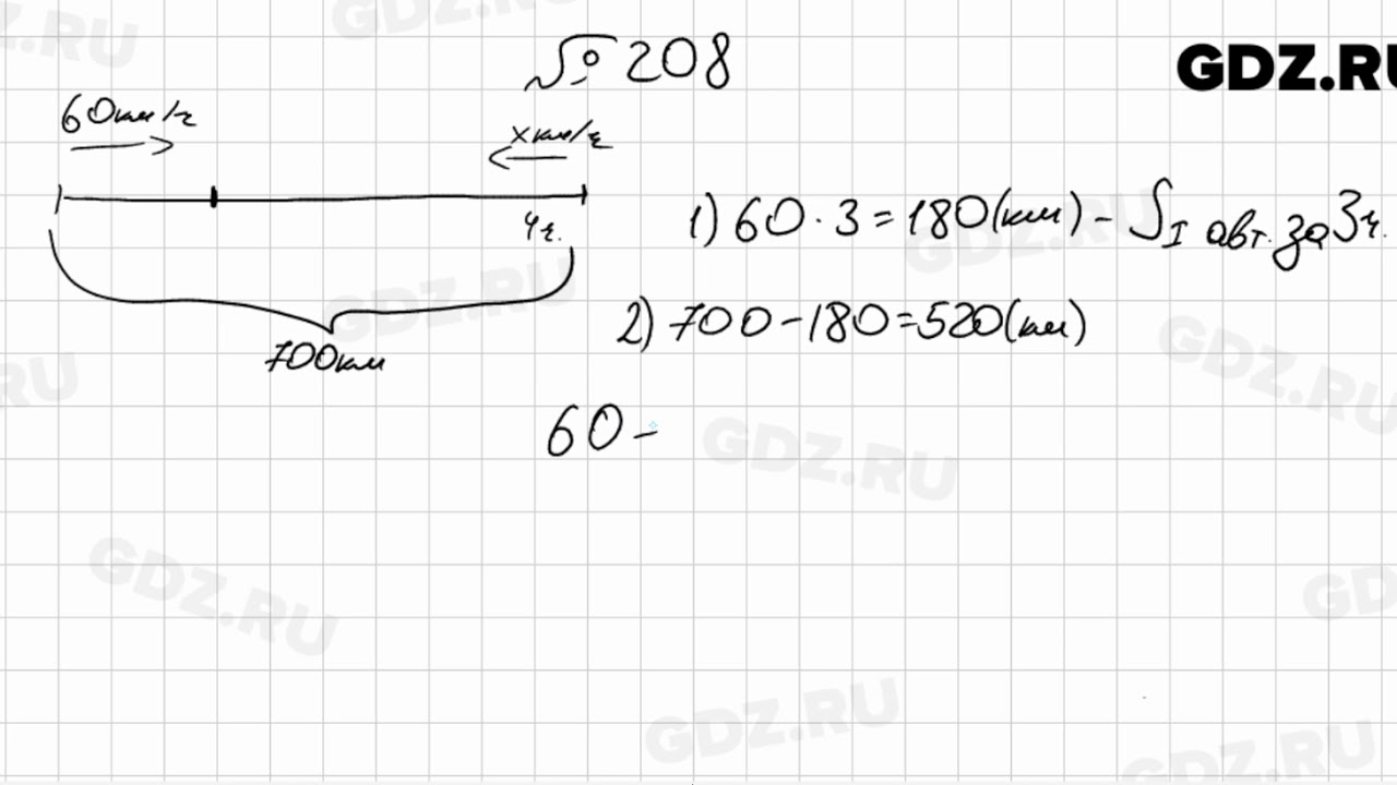
208 - Математика 6 класс Мерзляк - YouTube

867 - Математика 6 класс Мерзляк - YouTube

  • Вперед Проект на тему нептун
  • Назад Вибрация заднего кардана уаз патриот

Новые страницы

Ава петер санкт петербург

Чем хрящевые рыбы отличаются от костных выберите три

Длина дворников шевроле круз седан

Электролиз расплава хлорида кальция уравнение

Esbe vta 321

Ford 6000 cd подключение aux usb

Гдз по английскому языку 7 класс стр 57

Гдз по русскому 8 класс ладыженская упр 282

Ir2153 пуш пул

Как сделать проект 2 класс образец посмотреть

Картинка пожелание удачи в конкурсе

Картинка с вычислениями мем

Конторка базарного своими руками чертежи

Математика 4 класс стр 97 номер 11

Мерзляк математика 6 класс читать

Министр спорта московской

Морфологический разбор бурля

Направление на прохождение медицинской комиссии от организации образец

Образец заявления о выдаче судебного приказа о взыскании задолженности

Пахнет свежестью сирень бунин

Полировка фар содой

Поздравление с выпиской из роддома с сыном картинки

Р34002 образец заполнения

Расчет цепи онлайн

Сдвинув брови фразеологизм

Схема фронта

Словосочетание наречие и наречие

Трава осот фото

Велоспорт календарь

Жалоба на ростелеком в роскомнадзор образец

cdn.zecar.ru