Skip to content

Фотогалерея

  • Главная
  • Контакты

Мерзляк алгебра 7 класс учебник углубленный уровень

658 - Алгебра 7 класс Мерзляк - YouTube

Мерзляк Алгебра 7 класс Учебник Купить

Учебник По Алгебре 7 Класс Мордкович Онлайн - extremesurvive

Алгебра 7 класс мерзляк 437 – Telegraph

Математика. Вероятность и статистика. 7 класс. Углублённый уровень ...

ГДЗ Алгебра 7 класс Мерзляк. Углубленный 2023 № 8 параграф 12 (11 ...

49 - Алгебра 7 класс Мерзляк - YouTube

117 - Алгебра 7 класс Мерзляк - YouTube

§-2 № 1-48 - Алгебра 7 класс Мерзляк, Поляков углубленный уровень - YouTube

ГДЗ по Алгебре 7 класс учебное пособие Мерзляк

Купить методическое пособие по алгебре 7 класс , авт. Буцко Е.В ...

Алгебра 7 класс мерзляк ответы – Telegraph

Алгебра. 7 класс. Учебник - Колягин Ю.М. | Купить с доставкой в книжном ...

Алгебра 7 класс. Учебник Углубленный уровень – купить в Москве, цены в ...

Учебник Алгебра 7 класс А.Г. Мерзляк, В.Б. Полонский купити Київ, Д...

764 - Алгебра 7 класс Мерзляк - YouTube

ГДЗ Номер 534 (532) Алгебра 7 класс Макарычев Углубленный | Гарантия ...

«Алгебра. 7 класс», Н. Г. Миндюк – скачать pdf на Литрес

Бунимович Е.А. Алгебра. 7 класс. Учебник Сферы - купить с доставкой по ...

ГДЗ Номер 21 Алгебра 7 класс Мерзляк. Углубленный параграф 12 (11 ...

ГДЗ Номер 7 Алгебра 8 класс Мерзляк. Углубленный параграф 5 (н ...

167 - Алгебра 7 класс Мерзляк - YouTube

Математика 7 класс мерзляк учебник гдз | Лучшие домашние задания РУнета

ОК ГДЗ Алгебра 7 класс Звавич Дидактические | Гарантия хорошей оценки

А. Г. Мерзляк, Алгебра. Дидактические материалы. 7 класс – скачать pdf ...

Алгебра 7 класс. Методическое пособие. Углублённый уровень - Буцко Е.В ...

Алгебра. 7 класс. Углубленный уровень. В 2-х частях. Учебник ...

Алгебра. 7 класс, (2008). Мерзляк А. Г. | Svarog

ГДЗ по алгебре 7 класс (решебник) и ответы с пояснениями

Скачать Алгебра. 7 класс. Учебник, А. Г. Мерзляк, В. М. Поляков

Гдз Мерзляк 7 Класс Алгебра Сборник 2015 - intelligencespisok

Алгебра 7 класс мерзляк учебник номер 540 – Telegraph

Книга "Английский язык. Грамматика. 7 класс. Сборник упражнений к ...

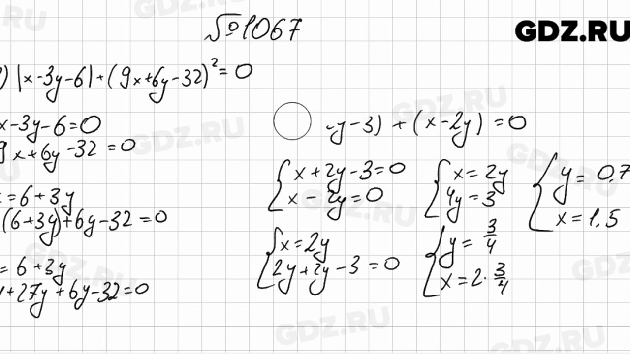
1067 - Алгебра 7 класс Мерзляк - YouTube

  • Вперед Гбу мо дирекция экологических проектов
  • Назад Перевод диплома образец

Новые страницы

Ez9f34206

Гдз 3 афанасьева

Gdz po okrujayushemu miru 4 klass

Genesis характеристики

Главная схема соединений

Исследования в циклических видах спорта

Как лечить бурсит большого пальца на ноге

Как поменять кран печки на приоре

Как поменять прокладку коллектора ваз 2109

Как поменять сальник на коробке ваз 2115

Карта клиента для депиляции образец скачать

Картинки для детей о дружбе детей

Количество в математике

Отключение защитника windows 10 навсегда

Петерсон 6 класс учебник 3 часть

Проектирование ландшафтный дизайн

Распил и кромкование дсп в спб

Распиновка эбу ниссан альмера

Распиновка магнитолы хендай санта фе 3

Распиновка ниссан тиида магнитола

Рынок садовод москва адрес

Сантехника бузулук

Схема маршрута 1 автобуса ярославль

Схема тормозов нива шевроле

Схема я люблю путешествовать с друзьями

Строительно монтажные компании россии

Типовой проект а5 92 прокладка кабелей напряжением до 35 кв в траншеях

Учебник по русскому языку 6 класс баранов ладыженская 2 часть

Замена батарейки в электросчетчике

Зебра цветовая схема

cdn.zecar.ru