Skip to content

Фотогалерея

  • Главная
  • Контакты

Математика шестой класс номер 1187

Номер 1187 - ГДЗ по алгебре 8 класс Макарычев, Миндюк с ответом и решением

ГДЗ учебник 2015. номер 1187 (298) математика 6 класс Виленкин, Жохов

Номер №1187 - ГДЗ по Математике 6 класс: Никольский С.М.

Номер №1187 - ГДЗ по Математике 6 класс: Никольский С.М.

Номер №1187 - ГДЗ по Математике 6 класс: Никольский С.М.

Номер №1187 - ГДЗ по Математике 6 класс: Никольский С.М.

Номер 1187 - ГДЗ по математике 5 класс Мерзляк, Полонский с пошаговым ...

Номер №1187 стр. 205 - ГДЗ по математике 6 класс Виленкин, Жохов ...

Номер 1187 - ГДЗ по математике 6 класс Мерзляк, Полонский решебник с ...

Номер 1187 - ГДЗ по математике 6 класс Мерзляк, Полонский решебник с ...

ГДЗ номер 1187 математика 6 класс Мерзляк, Полонский

ГДЗ номер 1187 математика 6 класс Мерзляк, Полонский

ГДЗ номер 1187 математика 6 класс Мерзляк, Полонский

Номер 1187 - ГДЗ по математике 5 класс Мерзляк, Полонский с пошаговым ...

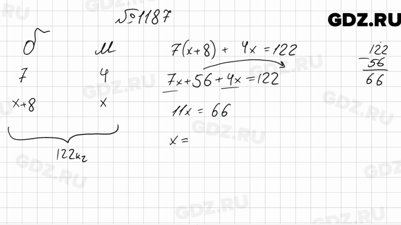
Номер задания №1187 - ГДЗ по Алгебре 8 класс: Макарычев Ю.Н.

Номер задания №1187 - ГДЗ по Алгебре 8 класс: Макарычев Ю.Н.

Номер №1187 - ГДЗ по Математике 6 класс: Мерзляк А.Г.

Номер №1187 - ГДЗ по Математике 6 класс: Мерзляк А.Г.

Номер №1187 - ГДЗ по Математике 6 класс: Мерзляк А.Г.

ГДЗ Номер 1187 Алгебра 7 класс Макарычев ФГОС | Гарантия хорошей оценки

Математика Абылкасымова 6 класс 2018 Упражнение 1187 ГДЗ(д?ж) решебник ...

Математика Абылкасымова 6 класс 2018 Упражнение 1187 ГДЗ(д?ж) решебник ...

1187 - Математика 6 класс Мерзляк - YouTube

Проверьте себя, стр. 19 № 1 - Математика 6 класс Виленкин - YouTube

Задача номер 1187 (1171) по Математике 6 класс Виленкин - YouTube

Номер 1187 - ГДЗ Алгебра 7 класс. Мерзляк учебник

Номер 1187 - ГДЗ Алгебра 7 класс. Мерзляк учебник

Номер 1187 - ГДЗ Алгебра 7 класс. Мерзляк учебник

Номер 1187 - ГДЗ Алгебра 7 класс. Мерзляк учебник

Номер 1187 - ГДЗ Математика 6 класс. Мерзляк учебник

  • Вперед Замена вентилятора на калине
  • Назад Прокачка тормозов на калине

Новые страницы

24 Маршрут владикавказ схема проезда

Barbie fitness

Электронно графическую схему основного состояния атома

Файнд орг

Форвард гдз 8 класс

Испания любительские

Контурная карта страны граничащие с россией и их столицы

Круглая красивая салфетка схема

Лучшая физкультурно спортивная организация

Математика шестой класс номер 1187

Micron technology оперативная память

Moneysend

Море в тольятти

Перчатки honeywell

По собственному желанию образец

Прайс лист на ремонт грузовиков

Приказ об ответственных за электрохозяйство образец

Пропала антенна на брелке сигнализации

Расширители арок паджеро спорт 2

Ремонт в квартире фото

Росгосстрах владимир

Шаблон технологической карты урока по фгос образец

Слушать арабески

Создание школьных спортивных клубов

Стеллаж на заказ по размерам

Тест на сколько ты псих по картинкам

Труба канализационная 100

Утепление деревянного пола на даче

Жалоба на невозбуждение исполнительного производства образец

Журнал выдачи инструкций по охране труда образец заполнения

cdn.zecar.ru