Skip to content

Фотогалерея

  • Главная
  • Контакты

Колебательный контур параллельный

Как работает колебательный контур и как работает передатчик на 1 ...

Колебательный контур ️ схема идеальной цепи, функции, формула томсона

Параллельный и последовательный колебательный контур

Последовательный контур. Параллельный контур

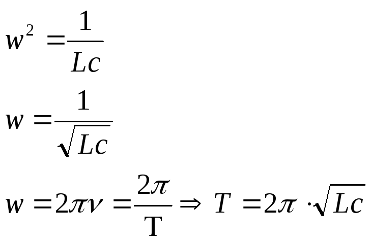
Формула напряжения от времени в колебательном контуре

Параллельный и последовательный колебательный контур

1.8.2 Параллельный колебательный контур и резонанс токов

Как сделать колебательный контур своими руками

Колебательный контур, частотные фильтры - презентация онлайн

Резонанс напряжений, что это такое, когда возникает

Параллельный колебательный контур - РЕМОНТКА

Резонанс токов. Параллельный колебательный контур

Колебательные контуры - определение, виды, принцип действия, схемы и ...

Как сделать колебательный контур своими руками

Контур схема

Аналогово-цифровой контроллер - online presentation

Последовательный и параллельный колебательный контур кратко

Сопротивление контура формула: 1 колебательный контур. Параллельный ...

Параллельный колебательный контур - практическая электроника

Параллельный колебательный контур - практическая электроника

Колебательный контур: что это, как работает, виды, расчет

Контур параллельный: Высшая школа прикладной физики и космических ...

Параллельный колебательный контур - практическая электроника

Сопротивление контура формула: 1 колебательный контур. Параллельный ...

Колебательный контур: что это, как работает, виды, расчет

Параллельный колебательный контур - практическая электроника

Параллельный колебательный контур - практическая электроника

Параллельный колебательный контур - практическая электроника

Параллельный и последовательный колебательный контур

Сопротивление контура формула: 1 колебательный контур. Параллельный ...

Контур схема

Параллельный колебательный контур - практическая электроника

Контур схема

Параллельный колебательный контур. Параллельный контур в общем виде

Сопротивление контура формула: 1 колебательный контур. Параллельный ...

  • Вперед Самоклеющаяся алькантара отзывы
  • Назад Схема электропроводки фаркопа

Новые страницы

Девочка 14 лет на море

Длинные узкие окна в частном доме

Форма гибдд нового образца 2022

Гульшат зайнашева презентация

Как правильно наносить автомобильный герметик

Как заварить редуктор

Картинки девушек полуобнаженных девушек

Кнд 1120101 что за справка образец

Котел скат 12 к protherm

La733p

Лада калина не заводится не крутит стартер

Маршрут 7 чебоксары схема

Настройки магнитолы пионер под колонки

Официальный сайт вгмха

Отвертки энкор

Парголово парк

Письмо путину образец письма от граждан

Порокератоз

Портфолио образец заполнения

Прилагательные с окончанием яя женского рода

Просмотр гербер файлов

Разбор ваз в уфе

Рефлексия картинки для презентации студентам

Регулировка смеси карбюратора ваз 2109

Рисунок на тему край белоствольных берез

Русский язык упр 606 6 класс

Упр 302

Второй слой гипсокартона как крепить

Введение картинки для презентации

Застой в кишечнике лечение

cdn.zecar.ru