Skip to content

Фотогалерея

  • Главная
  • Контакты

Изменение состава вдыхаемого и выдыхаемого воздуха

(Решено)Задание 4 Параграф 33 ГДЗ Драгомилов Маш 8 класс по биологии

(Решено)Параграф 12 Вопрос 8 ГДЗ Габриелян Остроумов 8 класс по химии

Различие в содержании вдыхаемого и выдыхаемого воздуха - презентация онлайн

Различие в содержании вдыхаемого и выдыхаемого воздуха - презентация онлайн

Различие в содержании вдыхаемого и выдыхаемого воздуха - презентация онлайн

Характер загрязнения атмосферного воздуха, причины

Презентация на тему: "Каков % состав атмосферного и выдыхаемого воздуха ...

Физиология дыхания - презентация онлайн

Различие в содержании вдыхаемого и выдыхаемого воздуха - online ...

Различие в содержании вдыхаемого и выдыхаемого воздуха - online ...

Различие в содержании вдыхаемого и выдыхаемого воздуха - online ...

Газообмен в легких. Транспорт газов кровью - online presentation

Дыхательная система. Строение легких. Газообмен в легких и тканях ...

Презентация на тему: "Разрушители нашего здоровья Профилактика ...

Химический состав и биологическая роль воздуха - презентация онлайн

Химический состав и биологическая роль воздуха - презентация онлайн

Презентация на тему: "Тема: «Гистология респираторного отдела легких ...

Презентация на тему: "Легочное и тканевое дыхание Носовая полость ...

Различие в содержании вдыхаемого и выдыхаемого воздуха. Кислород ...

Различие в содержании вдыхаемого и выдыхаемого воздуха. Кислород ...

Диффузия газов через аэрогематический барьер - презентация онлайн

Презентация на тему: "Дубок Татьяна Александровна, учитель химии ...

Презентация на тему: "Состав воздуха УРОК – ИССЛЕДОВАНИЕ. Предположение ...

Презентация на тему: "Использование программных продуктов Работа с ...

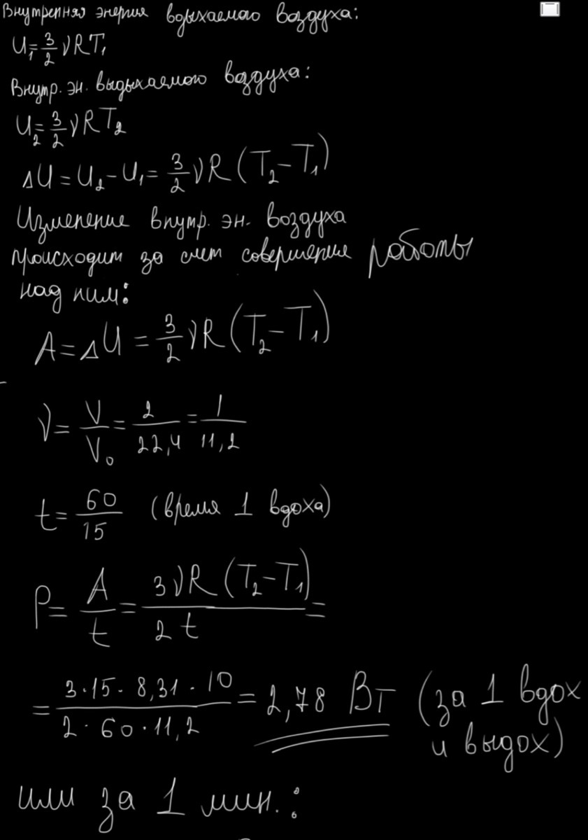
Человек при спокойном ритме дыхания совершает около 15 вдохов и выдохов ...

Презентация на тему: "Состав воздуха. Газообмен в легких и тканях ...

Свойства воздуха физические и химические: описание, значение в ...

Дыхательная система - презентация онлайн

Презентация на тему: "Анализ эндогенного СО в выдыхаемом воздухе ...

Регуляция дыхания. Болезни органов дыхания и их предупреждение ...

  • Вперед Снять квартиру в ишимбае по часам
  • Назад Рулевая колонка уаз 469 схема

Новые страницы

Академия наук санкт петербург старые

Актер дмитрий назаров

Аллюр спорт духи

Арматура для унитаза алкапласт

Брутальный фон для презентации

Esports world cup

Кабельный ввод

Как открутить болт шкива коленвала ваз 2110

Как плавать очень быстро

Как подключить эберспехер без пульта

Лирика картинки для презентации

Мастер на час сантехника

Математика 5 класс виленкин 2 часть номер 356

Отдых в абхазии в августе

Панама крючком мужская схема

Презентация окружающий мир 2 класс 21 век почему нужно быть осторожным

Прошу вас уволить меня по собственному желанию образец заявления

Растительный мир россии презентация

Разъем питания dc 2 1

Рольф ясенево ленд ровер страховка

Самодельная принудительная блокировка дифференциала

Санг йонг актион характеристики

Сделать домашку по математике

Тройники стальные гост 17375 2001 размеры

В каком зале третьяковской галереи находится картина девочка с персиками

Вакансии на мебельное производство в москве

Yutong zk6122h9 расположение мест схема

Задвижка dn50

Заявление на отпуск по семейным обстоятельствам образец

Zorge fitness уфа

cdn.zecar.ru