Skip to content

Фотогалерея

  • Главная
  • Контакты

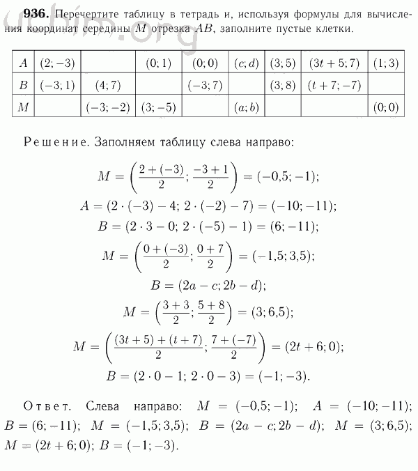
Геометрия 9 класс атанасян номер 936

Номер №936 - ГДЗ по геометрии 9 класс Мерзляк, Полонский с подробным ...

ГДЗ глава 10. задача 936 геометрия 7-9 класс Атанасян, Бутузов

Номер 936 - ГДЗ по геометрии за 7, 8 и 9 класс Атанасян бесплатно

Номер 936 - ГДЗ по геометрии за 7, 8 и 9 класс Атанасян бесплатно

Номер задания № 936 - ГДЗ по Геометрии 7-9 класс: Атанасян

Номер №936 - ГДЗ по Математике 5 класс: Мерзляк А.Г.

Номер №936 - ГДЗ по Геометрии 7-9 класс: Атанасян Л.С.

Номер №936 - ГДЗ по Геометрии 7-9 класс: Атанасян Л.С.

Номер №936 - ГДЗ по Геометрии 7-9 класс: Атанасян Л.С.

Номер №936 - ГДЗ по Геометрии 7-9 класс: Атанасян Л.С.

Ответ на номер 4 рабочей тетради по геометрии 9 класс Атанасян - 9 ...

Ответ на номер 4 рабочей тетради по геометрии 9 класс Атанасян - 9 ...

Номер №92 - ГДЗ по геометрии 9 класс Мерзляк, Полонский с подробным ...

Гдз по геометрии 9 класс 5terka | Лучшие домашние задания РУнета

Повторение 9 класс геометрия атанасян презентация

Задача номер 1025 геометрия Атанасян 9 класс решение - 9 класс геометрия

Учебник вис 7 9 класс

Номер №935 - ГДЗ по геометрии 9 класс Мерзляк, Полонский с подробным ...

Номер 9 - ГДЗ по геометрии за 10 и 11 класс Атанасян с подробным решением

ГДЗ Номер 142 Геометрия 9 класс Атанасян ФГОС | Гарантия хорошей оценки

Номер 936 - Решебник по геометрии 7-9 класс Атанасян

ГДЗ по Геометрия 7-9 класс Атанасян

Задачи по геометрии 7 9 класс

Геометрия 7 9 класс атанасян 576 – Telegraph

Геометрия. 7-9 класс. ФГОС Учебник | Атанасян Левон Сергеевич - купить ...

Геометрия. 9 класс. Углублённый уровень, А. Г. Мерзляк – скачать pdf на ...

1- Геометрия 7-9 класс Атанасян - YouTube

Задание № 936 — Геометрия 9 класс (Атанасян) - YouTube

Номер задания № 145 - ГДЗ по Геометрии 7-9 класс: Атанасян

ОПОРНЫЙ КОНСПЕКТ «Геометрия 9 класс» Атанасян 2023 (новый учебник) 1 ...

Номер 931 - ГДЗ по геометрии за 7, 8 и 9 класс Атанасян бесплатно

На рисунке 74 (48 фото)

Номер 149 - ГДЗ по геометрии за 7, 8 и 9 класс Атанасян бесплатно

Номер 102 - ГДЗ по геометрии за 7, 8 и 9 класс Атанасян бесплатно

  • Вперед Ремонт смесителя zorg
  • Назад Домашнее задание по математике 2 класс учебник 2 часть стр 75

Новые страницы

252 Маршрут уфа схема

Датчик давления ардуино bmp180

Детонация двигателя приора

Доп соглашение об изменении прописки работника образец

Гдз по английскому 8 класс комарова рабочая тетрадь ответы

Геометрия 9 класс атанасян номер 936

Изготовление экранов на батареи

Книга мавро орбини славянское царство

Квартиры в искитиме снять на длительный

Лечение пневмонии у пожилых людей

Муравьи презентация для дошкольников

Нувистор 6с62н

Отель яр воронеж конь

Печать открыток в нижнем новгороде

Письмо на английском образец 8 класс

Письмо судье образец

План нижнего парка петергофа с фонтанами карта

Программирование стеклоподъемника ниссан

Радиоежегодник 1983

Раскоксовка колец на дизеле

Распиновка проводов ваз 2107 карбюратор

Сборник грамматических упражнений 2 класс starlight ответы

Shell магнитогорск

Схема авр 4

Спорт ин адлер камера

Спорт руководство

Спорта на 2006 2015 годы

Сравните смысл слова закон в словосочетаниях закон физики правовой закон общественного развития

T260xw02 v 5

Технический журнал по эксплуатации здания и сооружения образец заполнения

cdn.zecar.ru