Skip to content

Фотогалерея

  • Главная
  • Контакты

Гдз решебник по алгебре 9 класс

ГДЗ § 9 9.17 алгебра 8-9 класс Сборник задач Галицкий, Гольдман

ГДЗ по алгебре 9 класс Мерзляк, Полонский Учебник Решебник

ГДЗ Задания для самоконтроля 2 алгебра 9 класс Никольский, Потапов

ГДЗ § 5 5.66 алгебра 8-9 класс Сборник задач Галицкий, Гольдман

ГДЗ § 6 6.6 алгебра 8-9 класс Сборник задач Галицкий, Гольдман

ГДЗ решебник по алгебре 9 класс Александрова тетрадь для к/р Мнемозина

ГДЗ задачник 2015 / §12 12.3 алгебра 9 класс Учебник, Задачник ...

ГДЗ задачник 2015 / §17 17.14 алгебра 9 класс Учебник, Задачник ...

ГДЗ задачник 2015 / §6 6.9 алгебра 9 класс Учебник, Задачник Мордкович ...

гдз по алгебре 9 класс задачник мордкович, фгос 2014 год

ГДЗ § 8 8.54 алгебра 8-9 класс Сборник задач Галицкий, Гольдман

ГДЗ § 13 13.4 алгебра 8-9 класс Сборник задач Галицкий, Гольдман

ГДЗ решебник по алгебре 9 класс Александрова тетрадь для к/р Мнемозина

ГДЗ задачник 2021 / §6 6.18 алгебра 9 класс Учебник, Задачник Мордкович ...

ГДЗ задачник 2015 / §6 6.4 алгебра 9 класс Учебник, Задачник Мордкович ...

ГДЗ задачник 2015 / §9 9.10 алгебра 9 класс Учебник, Задачник Мордкович ...

ГДЗ решебник по алгебре 9 класс Муравина, Муравин учебник Экзамен

ГДЗ § 2 2.71 алгебра 8-9 класс Сборник задач Галицкий, Гольдман

ГДЗ задачник 2015 / повторение 24 алгебра 9 класс Учебник, Задачник ...

ГДЗ задачник 2021 / §4 4.31 алгебра 9 класс Учебник, Задачник Мордкович ...

ГДЗ задачник 2015 / §12 12.29 алгебра 9 класс Учебник, Задачник ...

ГДЗ по алгебре 9 класс

Алгебра 9 Класс Картинка – Telegraph

ГДЗ решебник по алгебре 9 класс Ткачева тесты Просвещение

ГДЗ § 10 10.1 алгебра 8-9 класс Сборник задач Галицкий, Гольдман

ГДЗ Номер Вариант 1 Алгебра 9 класс Попов Контрольные и самостоятельные ...

ГДЗ задачник 2015 / повторение 23 алгебра 9 класс Учебник, Задачник ...

ГДЗ задачник 2015 / §11 11.20 алгебра 9 класс Учебник, Задачник ...

ГДЗ по алгебре 9 класс

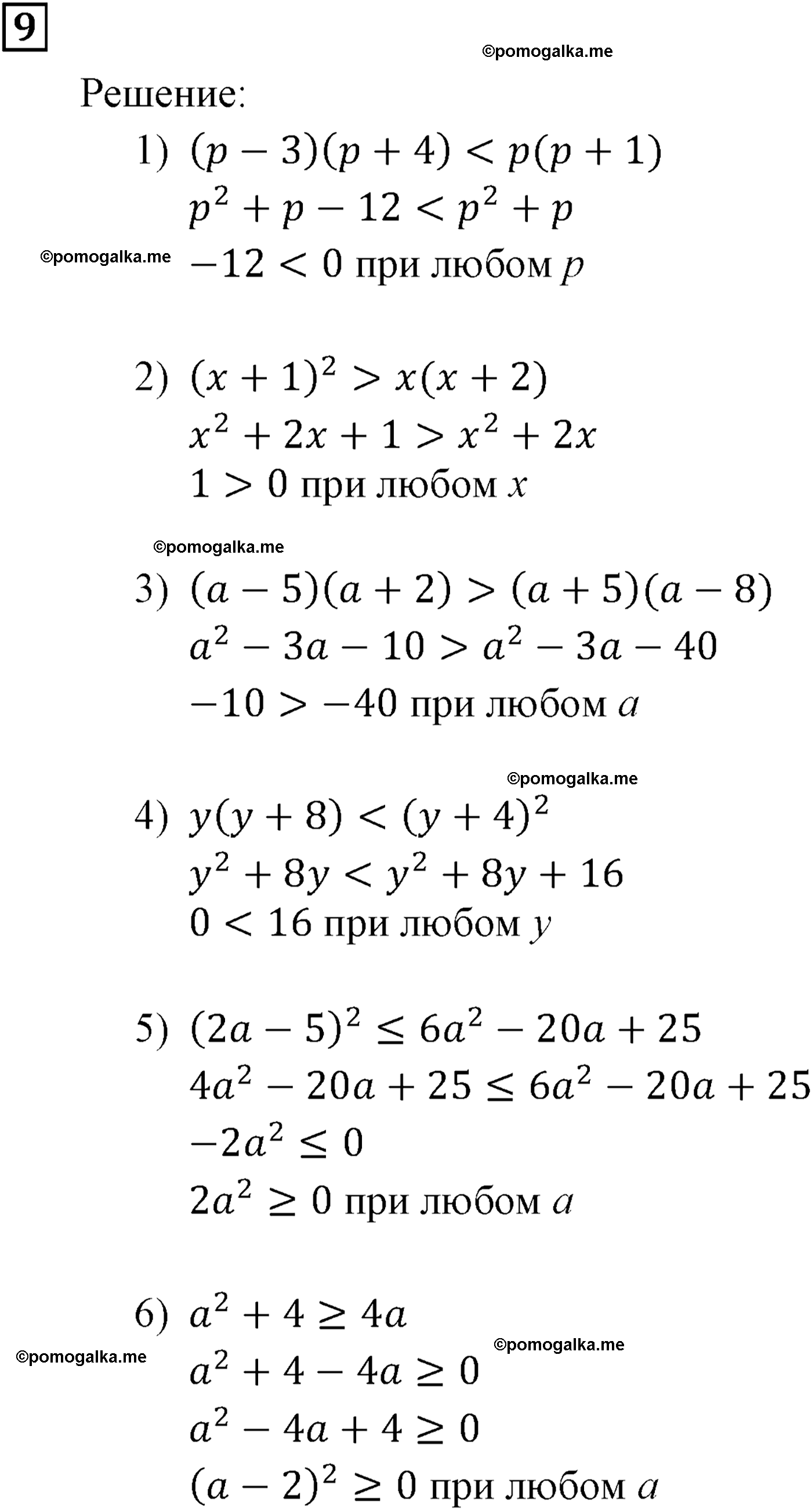
Номер №9 - ГДЗ по алгебре 9 класс Мерзляк, Полонский, Якир с подробным ...

Алгебра 9 Класс Решебник Галицкий - caribbeanburden

ГДЗ § 3 3.101 алгебра 8-9 класс Сборник задач Галицкий, Гольдман

ГДЗ решебник по алгебре 9 класс Александрова тетрадь для к/р Мнемозина

ГДЗ по алгебре 9 класс учебник Дорофеев - подробные решения

  • Вперед Гдз по русскому 8 класс 392
  • Назад Пропанол 1 схема реакции

Новые страницы

Аквапарк в москве мореон термы

Библиотеки санкт петербурга

Договор аренды нежилого помещения между ип и ип образец скачать бесплатно

Фотон аумарк 1051

Гдз решебник по алгебре 9 класс

Гуляет как пустой орех горячий ветер и колышет ветки

Храмы томска

Как нарисовать монстра страшного легко

Карта сафоново спутник

Кэш ин альфа банк

Лифан электрическая схема

Образец заполнения карточки форма 10 воинский учет

Образец заявления о привлечении к административной ответственности

Перечислите свойства функции и постройте ее график y 4 x

Подключение печки уаз 469

Профессиональное обучение схема

Прогноз погоды нефтекамск карта осадков

Пропорции фигуры человека показать схемы

Ps 015 16 380

Распиновка блока bcm авео т300

Сайт знакомств тендер

Схема зала консерватории саратов

Спортивный комплекс звездный междуреченск

Спортивный костюм адидас оригинал москва

Сто автодрайв улан удэ

Уборка квартир домов после ремонта

Вести тренировку

Винт dkc cm010610

Внутренние органы человека схема расположения у женщин с названиями и фото с правой стороны живота

Заниматься спортом лучше до еды или после

cdn.zecar.ru