Skip to content

Фотогалерея

  • Главная
  • Контакты

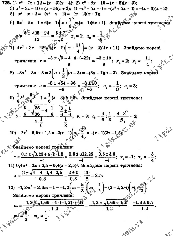
Гдз по алгебре 7 класс 728

ГДЗ по Алгебре 7 класс Макарычев, Миндюк, Суворова Учебник - решебник

ГДЗ Алгебра 7 класс Мерзляк, Полонский, Якир - Учебник

ГДЗ §28 28.1 алгебра 7 класс Учебник, Задачник Мордкович, Александрова

ГДЗ Номер 6 Алгебра 7 класс Евстафьева Дидактические О-30. Перестановки ...

Гдз Математика 7 Класс Мерзляк - Nomer 450 Gdz Po Algebre 7 Klass ...

ГДЗ по алгебре 7 класс — решебник с ответами Skysmart Решения

Дидактические материалы, Алгебра, 7кл. , Звавич, Кузнецова, Суворова ...

Алгебра 7 Дорофеев КР-10 . Контрольная работа + ответы

ГДЗ, по алгебре 7 класс Макарычев номер 274

Мерзляк Алгебра 7 клас Підручник "Гімназія" - Алгебра 7 клас Підручники ...

ОК ГДЗ Алгебра 7 класс Мордкович Контрольные | Гарантия хорошей оценки

ГДЗ номер 728 алгебра 8 класс Мерзляк, Полонский

ГДЗ номер 899 алгебра 7 класс Никольский, Потапов

Номер 954 - ГДЗ Алгебра 7 класс. Мерзляк учебник

Задание, номер 928 - ГДЗ по алгебре 7 класс Дорофеев, Суворова

728 » Вправи 701 - 800 » ГДЗ Алгебра 8 клас Мерзляк 2021

Номер №727 - ГДЗ по Алгебре 7 класс: Мерзляк А.Г.

ГДЗ §4 4.29 алгебра 7 класс Учебник, Задачник Мордкович, Александрова

Задание, номер 710 - ГДЗ по алгебре 7 класс Дорофеев, Суворова

Задание, номер 748 - ГДЗ по алгебре 7 класс Дорофеев, Суворова

ГДЗ номер 368 алгебра 7 класс Никольский, Потапов

ГДЗ упражнение 384 алгебра 7 класс Колягин, Ткачева

ГДЗ номер 207 алгебра 8 класс Мерзляк, Полонский

Алгебра и начала математического анализа. 10-11 классы. Базовый и ...

ГДЗ номер 727 алгебра 8 класс Мерзляк, Полонский

Параграф 7 - 7.16 гдз по алгебре 8 класс Абылкасымова, Кучер

ГДЗ номер 488 алгебра 7 класс Мерзляк, Полонский

Номер 697 - Решебник по алгебре 8 класс Алимов

ГДЗ номер 505 алгебра 7 класс Мерзляк, Полонский

Параграфы 7 § - 24 гдз по алгебре 10 класс Мордкович, Семенов Учебник ...

Номер №138 - ГДЗ по Алгебре 7 класс: Мерзляк А.Г.

ГДЗ проверь себя. глава 3 алгебра 7 класс Колягин, Ткачева

Гдз по математике 7 класс мерзляк дидактический материал ответы: ГДЗ по ...

Решить По Фото Алгебре 8 Класс – Telegraph

Итоговая контрольная работа за полугодие 10 класс по алгебре ответ ...

  • Вперед Образец искового заявления на алименты на ребенка в браке
  • Назад Метро москвы схема с расчетом 2024 года

Новые страницы

Алгебра 9 класс макарычев номер 795

Аналог кт818г

Автосервис лиски

День донской милиции

Домодедово эвакуатор

Гдз по алгебре 7 класс 728

Гдз по окружающему миру 4 класс 2 часть учебника плешаков новицкая

Генераторы нахабино

Granada турция

Качества которые развивают в человеке спорт

Как собрать воздушного змея из магазина инструкция с картинками

Лечение заед народными средствами

Математика 5 класс гдз ответы

Мейоз формулы фаз

Минспорт спортивная подготовка

Обозначения предохранителей ваз 2112

Объявление об уборке квартиры образец

Письмо ходатайство образец написания

Пнд кран 32

Ретро адидас спортивный костюм

Сервис часов ориент в москве

Схема заработка без

Схема зажигания мопеда альфа

Сифон для акриловой ванны

Театр металлургов новокузнецк расположение мест

Тормозная схема ваз 2110

Установка автостекол с выездом в москве

Вибростенд для диагностики подвески новосибирск

Военная форма россии нового образца по родам войск

Женский фак картинки

cdn.zecar.ru