Skip to content

Фотогалерея

  • Главная
  • Контакты

Гдз по алгебре 10 класс номер 470

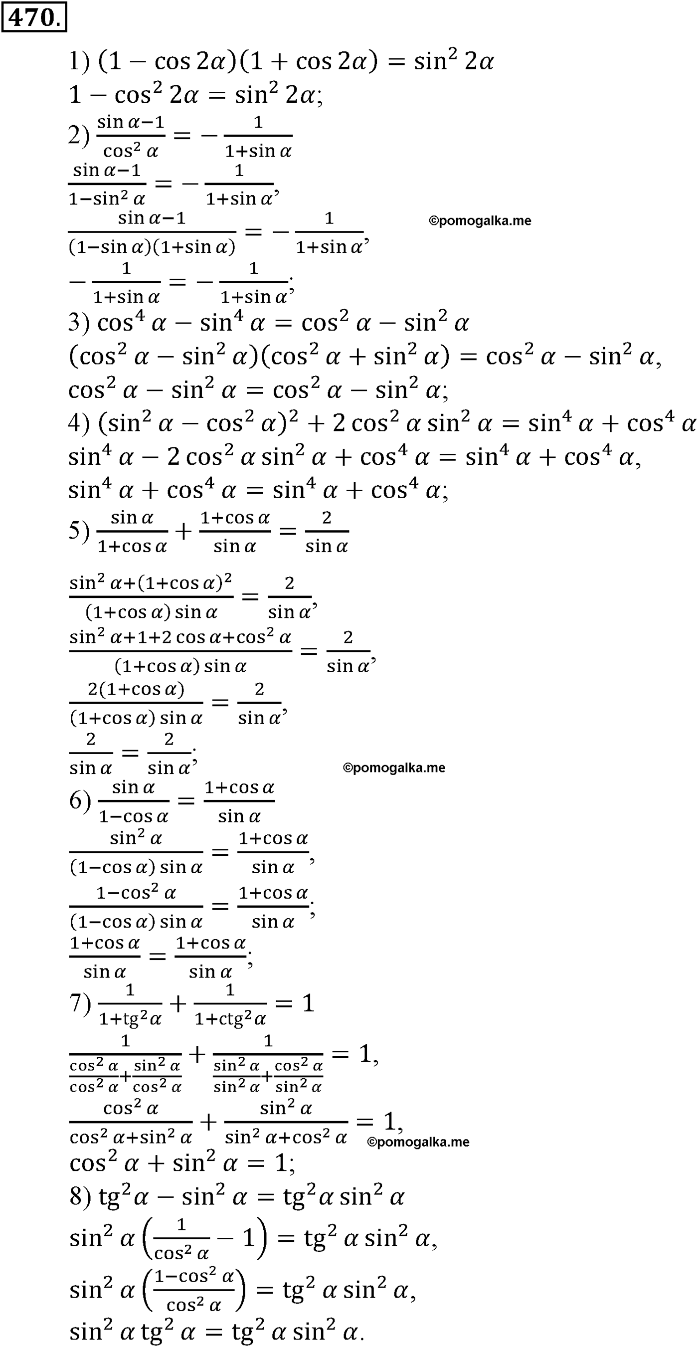
Номер №470 - решебник по алгебре за 10-11 класс Алимов, Колягин онлайн

Номер №470 - решебник по алгебре за 10-11 класс Алимов, Колягин онлайн

ГДЗ номер 470 алгебра 9 класс Никольский, Потапов

ГДЗ номер 470 алгебра 9 класс Никольский, Потапов

ГДЗ номер 470 алгебра 10-11 класс Колмогоров, Абрамов

ГДЗ номер 470 алгебра 10-11 класс Колмогоров, Абрамов

Номер 470 - ГДЗ по алгебре 8 класс Никольский, Потапов с ответом и решением

Номер №470 - решебник по алгебре за 10-11 класс Алимов, Колягин онлайн

ГДЗ номер 470 алгебра 7 класс Мерзляк, Полонский

ГДЗ номер 470 алгебра 7 класс Мерзляк, Полонский

ГДЗ номер 470 алгебра 7 класс Мерзляк, Полонский

Номер 470 - ГДЗ по алгебре 7 класс Никольский, Потапов с ответом и решением

Номер 470 - ГДЗ по алгебре за 7 класс Мерзляк, Полонский, Якир

Номер 470 - ГДЗ по алгебре 7 класс Макарычев, Миндюк, Нешков

ГДЗ номер 470 алгебра 7 класс Никольский, Потапов

Номер 470 - ГДЗ по алгебре 7 класс Колягин, Ткачева, Федорова, Алимов

ГДЗ номер 470 алгебра 7 класс Никольский, Потапов

Номер №470 - ГДЗ по Геометрии 7-9 класс: Атанасян Л.С.

Номер №470 - ГДЗ по Алгебре 9 класс: Мерзляк А.Г.

Номер 470 - ГДЗ по алгебре 9 класс Макарычев, Миндюк, Нешков

Номер 470 - ГДЗ по алгебре 9 класс Алимов, Колягин, Сидоров

Номер 470 - ГДЗ по алгебре 8 класс Макарычев, Миндюк с ответом и решением

Номер 470 - ГДЗ по алгебре 8 класс Макарычев, Миндюк с ответом и решением

ГДЗ номер 470 алгебра 8 класс Никольский, Потапов

ГДЗ номер 470 алгебра 8 класс Никольский, Потапов

ГДЗ номер 470 алгебра 8 класс Никольский, Потапов

ГДЗ номер 470 алгебра 8 класс Никольский, Потапов

Номер №470 - ГДЗ по Алгебре 8 класс: Мерзляк А.Г.

Номер №470 - ГДЗ по Алгебре 8 класс: Мерзляк А.Г.

Номер задания №470 - ГДЗ по Алгебре 8 класс: Макарычев Ю.Н.

Номер задания №470 - ГДЗ по Алгебре 8 класс: Макарычев Ю.Н.

Номер задания №470 - ГДЗ по Алгебре 8 класс: Макарычев Ю.Н.

Номер задания №470 - ГДЗ по Алгебре 8 класс: Макарычев Ю.Н.

Номер №470 - ГДЗ по Алгебре 8 класс: Мерзляк А.Г.

Номер №470 - ГДЗ по Алгебре 7 класс: Мерзляк А.Г.

  • Вперед Проект керамика чудеса из глины
  • Назад Сорвалась резьба

Новые страницы

Авторазборка автомир ачинск

Бактерии бифидум

Дом семейный отдых

Фитнес тренер иванов

Гдз по алгебре 10 класс номер 470

Гдз по русскому языку 4 класс учебник 2 часть страница 66

Готовый дизайн проект квартиры

Хайотий статуслар картинки

Химическое равновесие схема

Как выглядит реле регулятор напряжения

Как завести автомат с буксира

Картинки что лишнее для детей 5 6 лет

Когда будет землетрясения в казахстане

Не крутит стартер на ваз 2106

Оз байкал координаты

Озеро исыкуль отдых

Пинает петуха картинка

Проведение демонстрационного экзамена по стандартам ворлдскиллс

Распиновка разъема передней панели на материнской плате

Схема подключения трехфазного на 220

Шевроле элантра

Составить предложение с союзными словами

Союз чир спорта россии

Тонзиллит симптомы лечение

Туран что означает

University of toronto

Упражнения 294 по русскому языку 4 класс 2 часть

Утки смешные рисунки

В сообщающихся сосудах находится керосин и вода высота столба воды 40

Заявление об индексации присужденных сумм образец

cdn.zecar.ru