Skip to content

Фотогалерея

  • Главная
  • Контакты

Формула бальмера обычно приводится в виде коэффициент

Формула Бальмера – Мир Знаний

Физматика № 1148. Формула Ритца—Ридберга обычно приводится в виде: 1/? ...

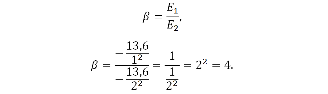
AF_L5

Коэффициент диффузии для разных материалов и разных растворителей ...

Формула Бальмера. История лазера

Серия Бальмера

(Решено)Упр.1180 ГДЗ Рымкевич 10-11 класс по физике Вариант 1

(Решено)Упр.1180 ГДЗ Рымкевич 10-11 класс по физике Вариант 1

Открытие электрона презентация, доклад

Формула Ритца—Ридберга обычно приводится в виде: Коэффициент RH носит ...

Ответы Mail: серия Бальмера

Презентация на тему: "Атом водорода по Бору. Квантовые постулаты. © В.Е ...

ЕГЭ по физике. Задача 32 (10). Серия Лаймана и Бальмера | Решение задач ...

Спектральная линия бальмера

Презентация на тему: "Тема 2 СТРОЕНИЕ АТОМА. ПЕРИОДИЧЕСКИЙ ЗАКОН И ...

Качественное определение - Справочник химика 21

Излучение атомарного водорода - презентация онлайн

Излучение атомарного водорода - презентация онлайн

Помогите решить ) брусок массой 5 кг начинает движение по ...

Квантовые постулаты Бора. Опыты Франка и Герца - презентация онлайн

26) Закономерности в атомных спектрах. Линейчатый спектр атома водорода ...

Коэффициент приведения аннуитета в Excel

2.4. Закономерности в атомных спектрах.

Презентация на тему: "1 Модель атома Бора для водородоподобной атомной ...

Презентация на тему: "Модели атомов. Атом водорода по теории Бора 1 ...

Презентация на тему: "Краткий курс лекций по физике Кузнецов Сергей ...

Квантовая природа излучения Тепловое излучение и его характеристики

Презентация по физике "Теория атома водорода по Бору" - скачать бесплатно

§ 25.2 Спектры атомов. Спектральные серии. Формула Бальмера

§ 25.2 Спектры атомов. Спектральные серии. Формула Бальмера

Спектр излучения – формулы в таблице

26. Линейчатый спектр атома водорода. Формула Бальмера.

§ 25.2 Спектры атомов. Спектральные серии. Формула Бальмера

Серия Бальмера | это... Что такое Серия Бальмера?

Презентация на тему: "2012 г. Квантовая механика Преподаватель: Комолов ...

  • Вперед Образец определения об отмене судебного приказа
  • Назад Принцип работы пятипроводной схемы управления стрелкой

Новые страницы

Аденома щитовидной железы лечение

Автосервис субару владивосток

Блэкаут жалюзи

Бургер кинг тюмень меню

Что такое имя существительное нарицательное

Формула бальмера обычно приводится в виде коэффициент

Газовый котел альфа колор ошибка 07

Гдз четвертый класс литературное чтение

Гдз по математике 3 класс учебник моро 2 часть стр 33

Гдз по русскому языку 5 класс номер 834

Гм 40

Кафе чайхона

Как расширить арки на ниве

Комитет молодежной политики и спорта

Масло из трубы выхлопной

Морфологический разбор числительного 7 класс образец

На рисунке 3 представлена модель атома гелия сколько электронов содержится в нейтральном атоме

Неинвертирующая схема оу

Нива шевроле это ваз

Печать petg пластиком

Подключение блока предохранителей ваз 2110

Рисунки для наклеек для срисовки легкие и красивые

Санитарная зона скважины питьевой воды

Схема электрическая принципиальная код

Схема гру грп

Сталинская высотка на котельнической

Свинтус страшилка придет картинка

Театр в бобруйске

Тройник фланцевый с пожарной подставкой пптф

Вид спорта на б

cdn.zecar.ru