Skip to content

Фотогалерея

  • Главная
  • Контакты

Ex sinx

Ex 5.4, 1 - Differentiate ex / sinx - Chapter 5 NCERT - Ex 5.4

Integration of e^x sin x dx - Teachoo Maths [Integration Class 12]

Ex 5.4, 1 - Differentiate ex / sinx - Chapter 5 NCERT - Ex 5.4

Integration of e^x sin x dx - Teachoo Maths [Integration Class 12]

Solved Recall that ex, sinx, and cosx all | Chegg.com

differentiation of ex+sinx/1+logx - Brainly.in

f(x)=e^x sinx. Find derivative, critical points, max and min - YouTube

Topic: AHL 5.19 Maclaurin series for ex, sinx, cosx HL Paper 2

Integration of e^x sin x dx - Teachoo Maths [Integration Class 12]

??????????-CSDN??

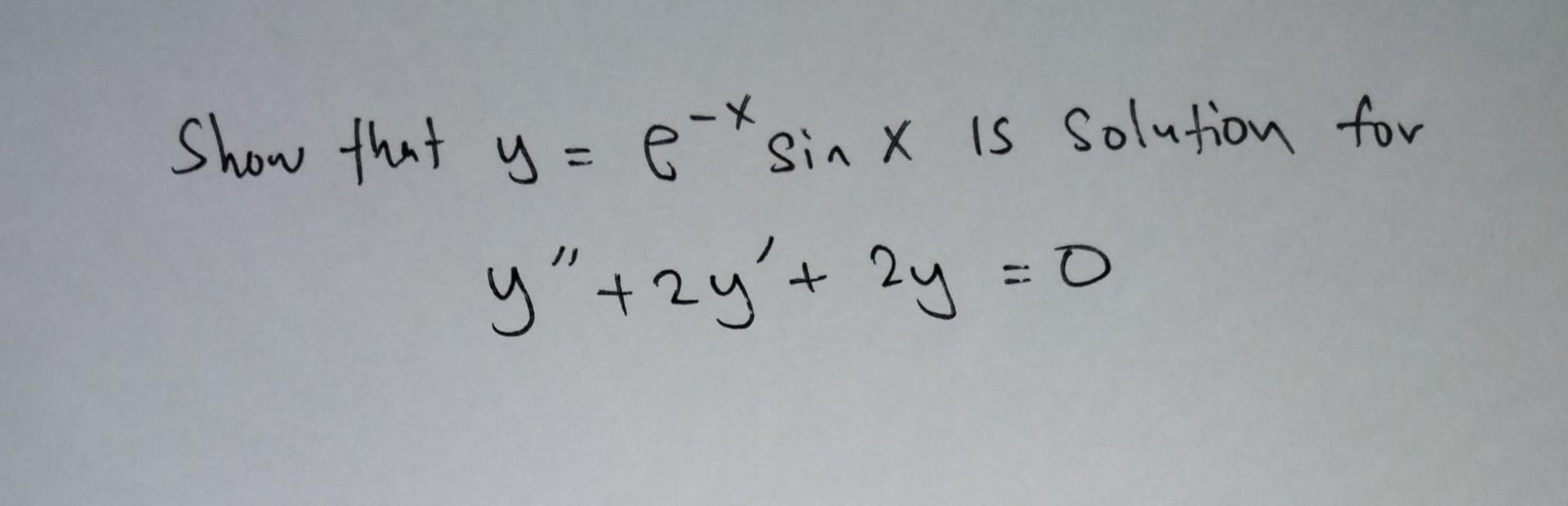
Solved Show that y=ex sinx is solution for y"+2y't 2y = 0 | Chegg.com

Misc 25 - Evaluate definite integral ex (1-sin x / 1-cos x)

Ex 7.6, 18 - Integrate e^x (1 + sin x / 1 + cos x) - Teachoo

Dos y Dos son Cuatro: octubre 2014

Solved S. 1 1 cos3x. (sinx)+. cotx secx 1+ex sinx" dx | Chegg.com

11. Derive the formula of sinx by complex nos.

Solved ?exsinxdx integrali hesaplan?rken asag?dakilerden | Chegg.com

Integral of x*sin(x) (by parts) - YouTube

Solved et- ex sinx lim "x>0 x-sin x | Chegg.com

Lim mu n: Cach tinh toan va ?ng d?ng trong toan h?c

sinx??x???

sinx?x?????x??0

Deriving the Taylor Series Expansion of Sin(x) - YouTube

Solution | Can we find the area between y=e^{-x} and y=e^{-x}\\sin x ...

Ex 7.3, 14 - Integrate cos x - sin x / 1 + sin 2x - Teachoo

Solved Evaluate sex ex sinx dx. | Chegg.com

Find Integration of sin x sin 2x sin 3x - Ex 7.3, 6 - NCERT Maths

Find Integration of sin x sin 2x sin 3x - Ex 7.3, 6 - NCERT Maths

Ex 7.5, 17 - Integrate cos x / (1 - sin x) (2 - sin x) - Ex 7.5

Example 31 - Evaluate definite integral sin2 x dx - Examples

????,?x^sinx?0????_????

Integral of sin^(-1)(x) | Integral of inverse of sin(x) | Integral of ...

What Is 1/sin X

(Method 1) Integral of 1/(1+sin(x)) (trigonometric identities ...

Solved 8. a. Show that the function f(x)=71(ex+sinx) has a | Chegg.com

  • Вперед Климатограмма нарьян мар
  • Назад Se dr

Новые страницы

Акт об отказе ознакомления с приказом о дисциплинарном взыскании образец

Челябинск гольфстрим

Достоинства пк с раздельной конструктивной схемой

Электрическая схема втягивающего реле

Ex sinx

Фитнес ближайший рядом

Где то в далекой африке живут крокодилы

Герпес на ноге лечение

Хейлит симптомы и лечение

Join sport

Как объявить себя банкротом

Какой смысл для каждого поколения имеет вишневый сад почему докажите что отношение

Найти координаты середины вектора

Навигация для магнитолы скачать

Параллельный перенос что это

Почему при приближении магнита к катушке магнитный поток пронизывающий эту катушку менялся

Предохранитель вентилятора ока

Приказ о пересмотре инструкций по охране труда 2023 образец

Приведите примеры кислот бескислородных кислородсодержащих

Программа обследования зданий и сооружений образец

Разгон от милой зайки до жуткой стервы

Самолет аэробус схема салона

Схема г новосибирск

Схема нефтяной вышки

Сталь угловая 40х40х4

Сущий хвост

Тепловизор напрокат

Тренеровка или тренировка

Замена фурнитуры окон

Замена лобового стекла уаз патриот

cdn.zecar.ru