Skip to content

Фотогалерея

  • Главная
  • Контакты

Entry test

Past Entry Test

Past Entry Test

Pre entry test: English ESL worksheets pdf & doc

AJK State Entry Test Result & Answer Key 2018 - StudyPK

entry test - ESL worksheet by mimiayuara75

entry test - ESL worksheet by MartaDavid

Entry Test Preparation для Android — Скачать

Entry Test Grade Worksheet Live Worksheets, 55% OFF

Entry Test - YouTube

LUMHS Entry Test Date 2023

Entry test: English ESL worksheets pdf & doc

Entry test - ESL worksheet by csarc68

Entry test - ESL worksheet by Goreti Ponte

Past Entry Test

Entry Test

Medical Entry Test - Medical Entry Test Guide

Entry test

Pre entry test: English ESL worksheets pdf & doc

Entry Test - ESL worksheet by Sarasimo97

ENTRY TEST - ESL worksheet by rita.vicentini

Past Entry Test

Entry Test: past papers of entry test of physics math and chemistry for ...

TopGrade.pk | Entry Test Preparations, ECAT, MDCAT APK for Android ...

Pre entry test: English ESL worksheets pdf & doc

ENTRY TEST - ESL worksheet by kitta22

Entry test - ESL worksheet by parvooubclass

Past Entry Test

Past Entry Test

Entry test: English ESL worksheets pdf & doc

LUMHS Entry Test Sample Paper

Entry Test - ESL worksheet by rmc80

Entry test - ESL worksheet by Ana B

entry test - ESL worksheet by noparking here

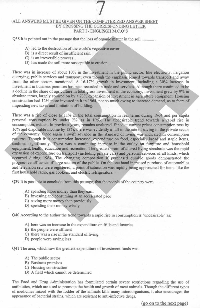
  • Вперед Замена сальника коленвала нива 21213
  • Назад При езде тянет руль вправо

Новые страницы

Авто ру оценка авто

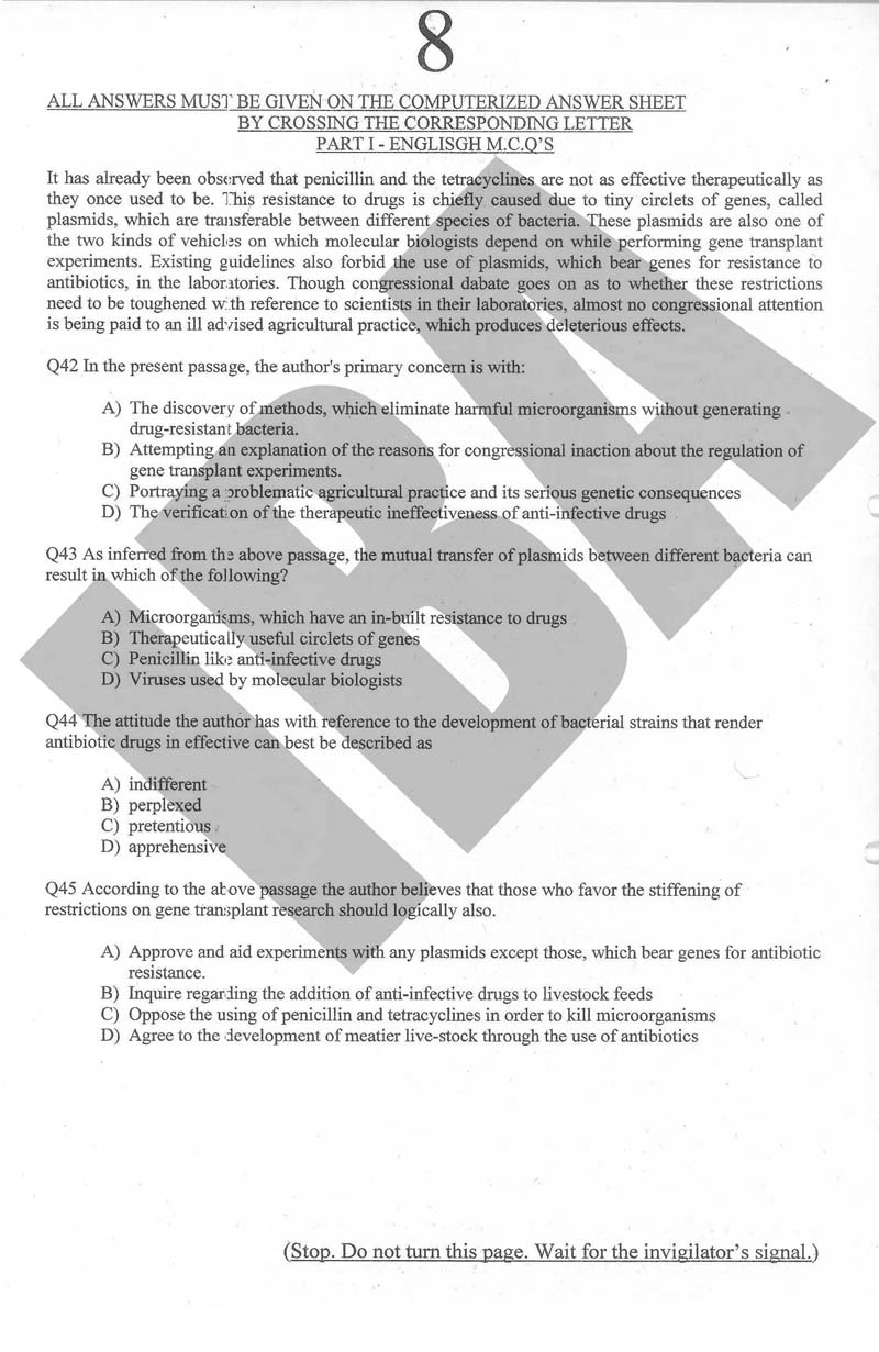
Бен ганн остров сокровищ

Береговой москва

Чем убрать царапины с пластика

Договор купли продажи автомобиля между ооо и физ лицом 2022 образец

Эффекты наращивания ресниц 2д схема

Гдз математика 2 часть 3 класс страница 83

Гдз стр 59 математика

Гидратация схема реакции

Как повернуть чертеж в компасе на 90 градусов

Контейнеровоз авто

Максимус генерал рима википедия

Масло маннол в коробку

Матильда мюзикл

Монтаж гкл на потолок

Muse перевод на русский

Новые бесплатные схемы вышивки

Образец заполнения реестра расходных обязательств

Образец заявления на увольнение генерального директора

Орехово зуево агентство недвижимости

Паспорт лаборатории образец

Презентация мангеймская система обучения

Схема маршрутов петербург

Схема объемных цветов

Сифон с донным клапаном для раковины

Ветреный турецкий описание

Воронцовский дворец петербург

Впр математика шестой класс образец

Заказать такси котельники

Зрение человека схема

cdn.zecar.ru