Skip to content

Фотогалерея

  • Главная
  • Контакты

Complete the sentences with the derivatives of the

Math 171 Derivative Worksheet

Презентация "Словообразование" для 7 класса по учебнику "Rainbow English"

Derivative Cheat Sheet

50+ derivatives worksheets on Quizizz | Free & Printable

Solved (1) Find the derivatives of each of the following | Chegg.com

50+ derivatives worksheets on Quizizz | Free & Printable

Derivatives of functions in parametric forms - Basic maths - Studocu

Derivatives of ALL trig functions (proofs!) - YouTube

BASIC DERIVATIVE OF ALGEBRAIC FUNCTIONS || BASIC CALCULUS - YouTube

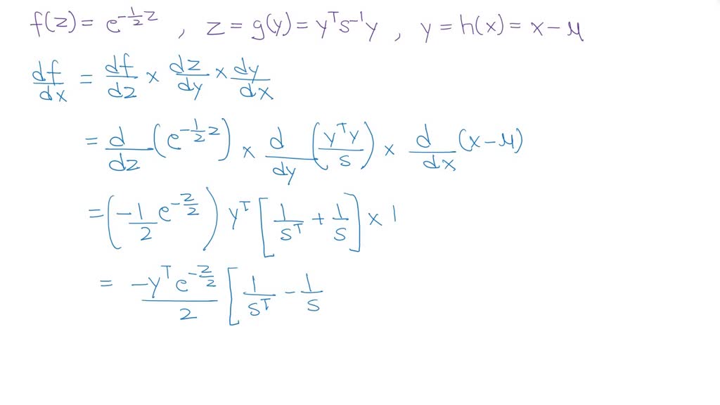
58 compute the derivatives df d of the following functions describe ...

Solved Find the first partial derivatives of the following | Chegg.com

Solved Use the rules to find derivatives of the following | Chegg.com

Derivative Formula, Rules, Examples And Derivatives List

Common Derivatives Integrals Reduced - - Studocu

SOLVED: 2. Use appropriate differentiation techniques to determine the ...

Solved Find all second partial derivatives of the function | Chegg.com

SOLVED: 5.8 Compute the derivatives df /d. of the following functions ...

Solved Find the first partial derivatives of the | Chegg.com

Solved Find the first partial derivatives of the function. | Chegg.com

Solved Find the first partial derivatives of the function. | Chegg.com

Solved Find the first partial derivatives of the function. | Chegg.com

Derivatives Strategies | Definition, Types, & Risks

Simple Derivative Examples on Sale | dakora.com.co

Solved roblem 1: Guided Derivative Calculation ( 42 points) | Chegg.com

What is the Derivative of 1/x? - Epsilonify

How To Memorize Trig Derivatives

50+ derivatives worksheets for 10th Grade on Quizizz | Free & Printable

  • Вперед Фитнес клуб спирит семеновская
  • Назад Учебник русского 8

Новые страницы

6 Из 45 проверить последний тираж спортлото

Акции вк купить

Акт приемки системы в эксплуатацию образец

Английский язык 4 класс 2 часть афанасьева учебник гдз

Чем смазывать тормозной цилиндр на суппорте

Cls350

Дарья руденко

Детские стрижки

Эффект теней наращивание ресниц схема

Эго пионерская фитнес

Гдз рф по математике 4 класс моро

Игра в прятки скачать фильм

Истории известно активное участие в государственном строительстве европейских держав

Как прокачать тормоза на ваз 21214

Карта настроения в лагере шаблоны

Карта таро джоджо

Кокетка от горловины схема

Колятся колеблющиеся

Мастер спорта ссср по лыжному спорту

Медицинская карта именинника шуточная

Мотылек картинка для детей на прозрачном фоне

Нарисовать схему однородных членов

Отзыв огниво 2 класс

Рено на свердлова в мурманске

Рено сандеро седан

Схема цепи обозначения

Схема управления государственной власти

Схема включения трехфазного двигателя в однофазную сеть

Схемы из бисера котик в шапке

Топ спортсменок

cdn.zecar.ru