Skip to content

Фотогалерея

  • Главная
  • Контакты

Чему равны стороны прямоугольника если они относятся как 4 9 а его площадь 144 м2

(Решено)Упр.784 ГДЗ Мерзляк Полонский 9 класс по геометрии

(Решено)Упр.14.7 ГДЗ Погорелов 7-9 класс по геометрии

Катеты прямоугольного треугольника равны 3 и 4. Найдите высоту ...

Диагонали параллелограмма равны 17 см и 19 см, а его стороны относятся ...

Найдите периметр прямоугольника одна сторона которого равна 9 см а ...

Формула нахождения треугольника 4 класс

Диагонали прямоугольника квадрата и их свойства 4 класс презентация

Найдите, стороны ромба, зная, что его диагонали относятся как 1:2, а ...

Задача №636 ЕГЭ: диагонали равны 7 и 10. Найти периметр 4-угольника ...

Две стороны прямоугольника ABCD равны 6 и 8. Найдите длину вектора .AN ...

Как найти сторону квадрата и прямоугольника по известному периметру ...

№219. В прямоугольном параллелепипеде стороны основания равны 12 см и 5 ...

Геометрия Найдите площадь ромба, если его периметр равен 40 см, а ...

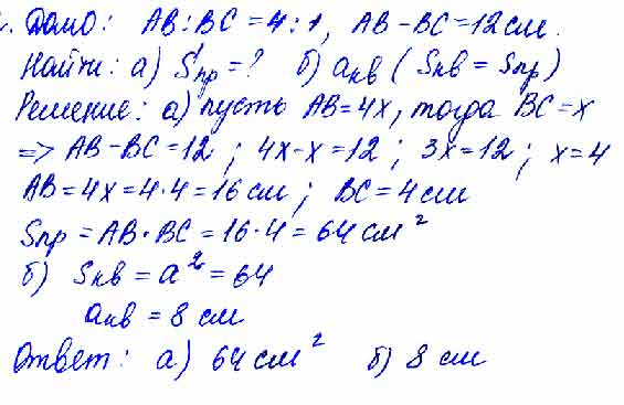
Стороны прямоугольника относятся как 4:1, а их разность равна 12 см ...

Геометрия Стороны прямоугольника равны 9 см и 40 см. Чему равна его ...

Геометрия Стороны параллелограмма равны 9 см и 12 см, а сумма двух его ...

Геометрия Известно, что две стороны треугольника равны 24 см и 9 см, а ...

Геометрия Стороны параллелограмма равны a и b, его острый угол равен ? ...

Прямоугольник. Виды прямоугольников - презентация онлайн

Параллелограмм, ромб, прямоугольник, квадрат — Learn-to-learn.com

Решение задач по теореме Пифагора - презентация онлайн

Периметр и площадь прямоугольника - презентация онлайн

(Решено)Упр.24.6 ГДЗ Мордкович Семенов 7 класс по алгебре

Презентация на тему: "Четырехугольники Параллелограмм Трапеция ...

Периметр и площадь прямоугольника - презентация онлайн

Две стороны изображенного на рисунке прямоугольника abcd равны 6 и 8 ...

  • Вперед Август астры цветаева анализ стихотворения
  • Назад Встреча болконского и наташи

Новые страницы

Аутлендер неисправность иммобилайзера

Автобус орфограмма

Бурсит локтевого лечение

Чему равны стороны прямоугольника если они относятся как 4 9 а его площадь 144 м2

Что можно собрать из железного конструктора схемы

Цой слушать онлайн бесплатно

Дверной замок border разборка сборка

Инжектор челябинск

Js metanit

Кубик блума в детском саду с картинками на русском языке

Купить спортмастере цена

Легкие рисунки стандофф 2

Модель ps42c430a1w

Наш любимый детский сад картинки для оформления

Парк коломенское прокат велосипедов

Печать первичной профсоюзной организации образец

Приключения желтого чемоданчика коротко

Распиновка эбу 4e fe

Рассмотрите схему

Рисунки для срисовки карандашом для начинающих легкие и красивые для девочек милые животные поэтапно

Розетка 2м оп этюд

Схема ауди а6

Сова макраме схема

Спортмастер теннисные ракетки

Susan is a cinema goer

Тонировка в солнечногорске

Восстановление поворотного кулака

Западный макрорегион россии карта

Заявление в росреестр об исправлении технической ошибки образец

Журнал регистрации экг образец

cdn.zecar.ru