Skip to content

Фотогалерея

  • Главная
  • Контакты

Cal2

CAL2

CAL2

CAL2

Cal2 1.8 | PDF

Anti-mutated Calreticulin / CALR (Hu) from Mouse (CAL2) - unconj ...

Cal2 New into ! - YouTube

Cal2/v6 - YouTube

1976 CAL 2-27 — For Sale — Sailboat Guide

Anti-mutated Calreticulin CALR (CAL2) Antibody

Cal2 | | hifi-forum.de Bildergalerie

Cal2-formula Sheet - just for fun - Chapter 7 Formulas The area between ...

CAL2: Calendar 2 - Positive Impressions

Cal2, Cal3 PC Engine ソフト 2本セット - メルカリ

cal2 - YouTube

cal2 - YouTube

Anti-mutated Calreticulin / CALR (Hu) from Mouse (CAL2) - unconj ...

CAL2 History etc - Photos general | Flickr

Cal2 | cal2 | hifi-forum.de Bildergalerie

Frontiers | Overexpression of a Defensin-Like Gene CAL2 Enhances ...

Cal2 Sample final examination TT - CALCULUS 2 - FINAL EXAMINATION ...

» cal2-4

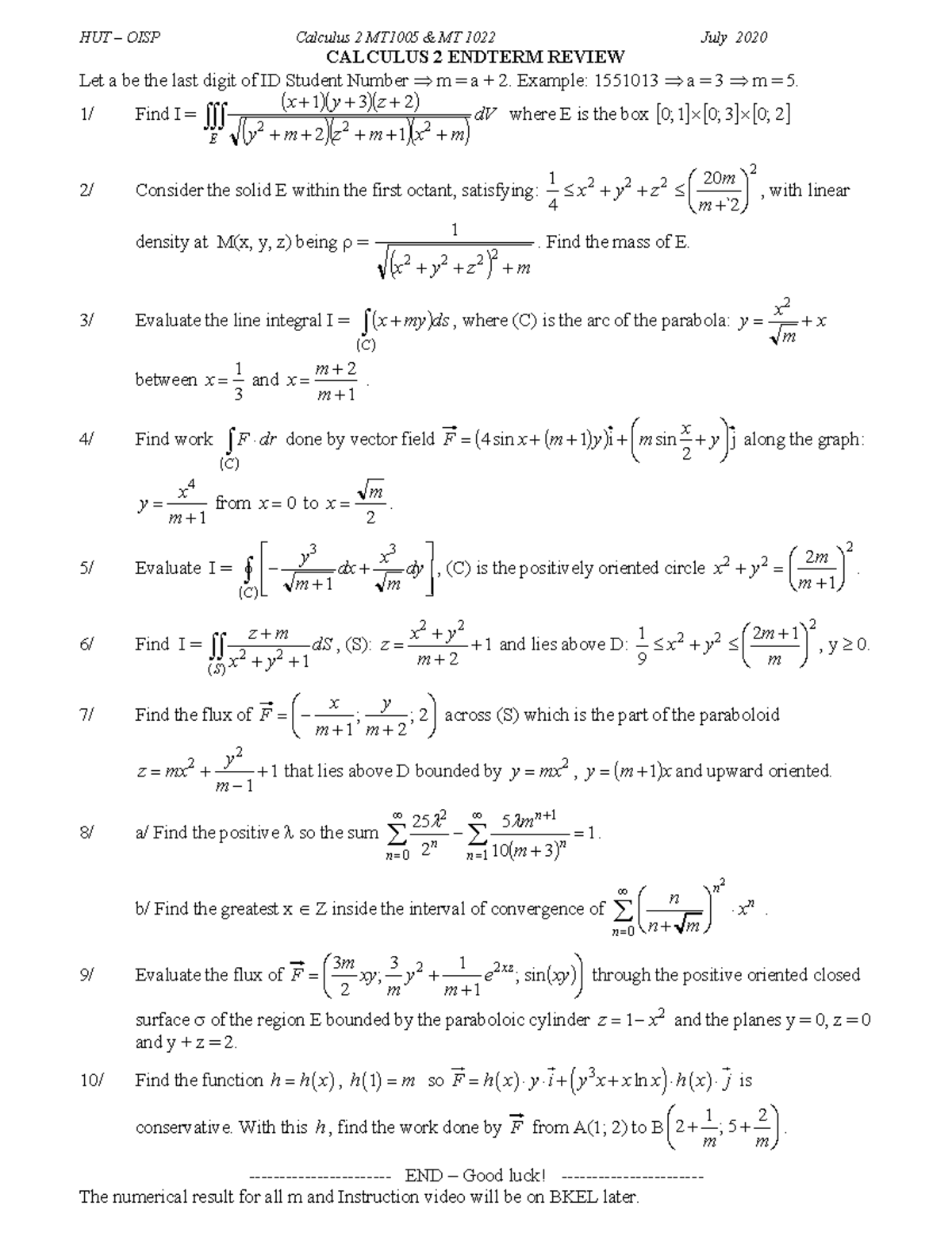
00 Cal2 Endterm Review Q BKEL (Source GT2 171) - HUT 3 OISP Calculus 2 ...

Solved Use Lewis symbols to diagram the formation of Cal2 | Chegg.com

cal2 | مجله اينترنتی گويا آی‌تی

Table 1 from CAL2 Immunohistochemical Staining Accurately Identifies ...

Sample Final Cal2 - Sem 2 2023 - THE INTERNATIONAL UNIVERSITY – VIETNAM ...

Cal2 2.2 | PDF

CAL II - Certified Agile Leadership Program

CAL2 | PDF

Cal2 ki1 2019 2020 - nnnnnnnnnnnnnnnnn - Mathematical Statistics for ...

젊고 순수한 블로그: 리뷰 : CAL2(1991/4/10,버디소프트)

Cal2-exam 1-A-Spring 2015-2016 - A 13 /3/201 6 First Exam of Calculus ...

Cal2 CLC ans - Summary Toán 2 - SPKT - No.: BM1/QT-PĐBCL-RĐTV Page: 1 ...

HW1 Calculus 2 - Cal2 G123 note06062022 - HOMEWORK 1 - CALCULUS 2 TS ...

DA Cal2 S2 2352023 (tham khảo) - Calculus 1 - Studocu

  • Вперед Клюква канада
  • Назад Схема способностей человека

Новые страницы

Акт о выявленном браке товара образец

Bga reballing

Бош электроплита

Cal2

Camar patented навесы как крепить

Двойной суперфосфат применение

Fly me to the moon

Гдз по русскому 8 класс номер 423

Картинки для пранка над другом

Картинки по здоровому образу жизни для детей в детском саду

Маршрутка 2а пенза схема

На какой частоте корабли передают сигналы бедствия sos если по 600 м

Немецкий язык 3 класс рабочая тетрадь 2 часть стр 29

Образец докладной записки на сотрудника за невыполнение обязанностей на рабочем месте

Образец графика работы сотрудников на месяц в excel

Огайо город в сша

Приказ о выходном дне в организации образец

Рабочая тетрадь петерсон гдз

Рено меган в пскове

Руководитель экспорта

Руль подергивается при езде

Схема манежа

Скатывание шарика по наклонной плоскости

Слив тосола шевроле нива

Согласие на обработку персональных данных образец на ребенка

Спортивные тренировочные костюмы

Учебник математики 6 класс дорофеев шарыгин

Вибростенд чебоксары диагностика

Вкусовые рецепторы расположены на

Заказать сантехника

cdn.zecar.ru