Skip to content

Фотогалерея

  • Главная
  • Контакты

Babok

BABOK 3.0: Overview of the latest edition

BABOK BUSINESS ANALYSIS PROCESSES | by Elif Yildirim | Aug, 2023 | Medium

BABOK Guide v3 Tutorial: Using the Guide - Enterprise Architect | Sparx ...

Babok Guide Version 3 - NicholaskruwOconnell

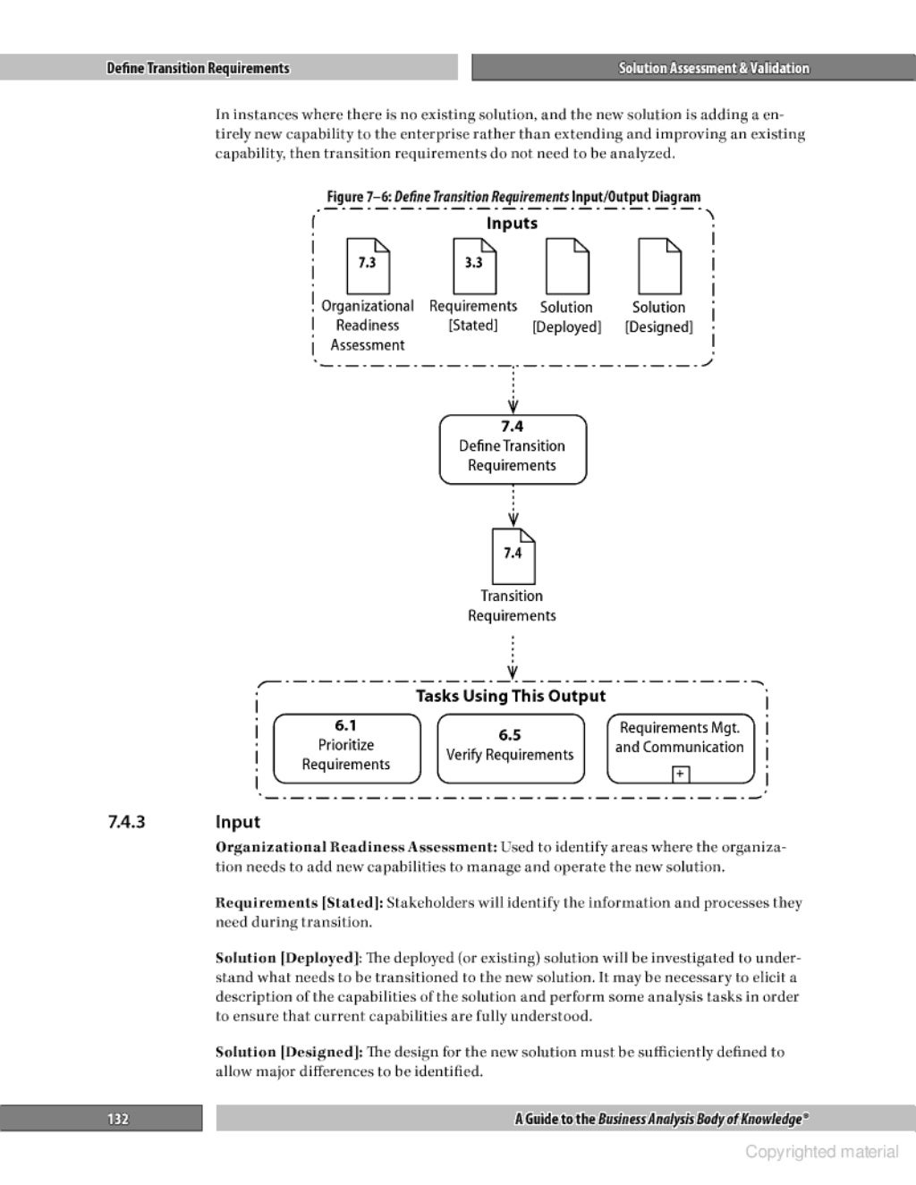
BABOK v3

1.1 Purpose of the BABOK® Guide | IIBA®

What is BABOK (Business Analysis Body of Knowledge)? Explained

Guide To Business Analysis Body of Knowledge | Techcanvass

Babok

Babok

Babok

Курс "BABOK V3.0: Введение в бизнес-анализ" - Авторские курсы бизнес ...

Babok V3 Overview - busines book for analyst - Business Rules Data ...

Introduction to BABOK | What is BABOK | What is inside BABOK ...

Babok

What is BABOK (Business Analysis Body of Knowledge)? Explained

Sách Babok v3 tiếng việt PDF dành cho Business Analyst mới nhất

BABOK and DMBOK: The Frameworks for BI Report Requirements Gathering ...

Sách BABOK v3 - phiên bản tiếng Việt (Hướng dẫn kiến thức cốt lõi phân ...

How to “Speak BA”: A Peek Inside the BABOK® | Business Analysis, PM ...

What is the BABOK® ? – The Functional BA

Babok

Babok

What is BABoK? 4 Ideas From a Business Analyst

babok guide and agile extension - Gigante Consultoria

Infographic: BABOK Version 3 Changes - IAG Consulting

BABOK Guide v3 ECBA.pptx

Babok v3 tiếng việt pdf tài liệu hay dành cho business analyst,

What is BABOK (Business Analysis Body of Knowledge)?

Babok

What is BABOK (Business Analysis Body of Knowledge)? Explained

Business Analysis Body of Knowledge (BABOK): Complete Guide

Babok

Babok

Purpose Of The BABOK® Guide IIBA®

  • Вперед Детский магазин mothercare
  • Назад Северный вокзал ташкент

Новые страницы

Алгебра 7 класс номер 180

Complete the sentences with the correct forms of the verbs in brackets we do a

Договор на обслуживание домофона в многоквартирном доме образец

Драйвер для j2534 скачать

Где можно сделать диагностическую карту

Гдз русский язык 6 класс номер 509

Группы спортивной тренировки

K3878 транзистор

Карта астаны по районам

Kfr 75lw e 30 схема электрическая принципиальная

Круговая тренировка на все группы мышц

Мцд 4 москва схема

Мэрия в майнкрафте постройка схема

Образец презентаций оформление

Онлайн карта общественного транспорта рыбинск

Перевод приложения к диплому с украинского на русский образец

Постановление прокурора о возбуждении производства об административном правонарушении образец

Правила этикета рыцарей 5 класс проект кратко

Прибор своими руками схема

Продукция дкс

Регламент то лада ларгус

Руз ба хайр картинки

Сальник сантехнический

Санаторий ключи алмаз

Сгорела микросхема

Спорт каналы на неделю

Транзистор h945

Винтовка мосина своими руками из дерева чертежи для изготовления

Впускной и выпускной клапан отличия

Жироуловитель для вентиляции

cdn.zecar.ru