Skip to content

Фотогалерея

  • Главная
  • Контакты

Atmega8 компаратор

Introduction to ATmega8 - The Engineering Projects

ATmega8 - 8-bit AVR Microcontrollers - Microcontrollers and Processors

Bootloader atmega8

20PCS ATMEGA8 16PU ATMEGA8 16 ATMEGA8-in Integrated Circuits from ...

ATMEGA8 datasheet(76/303 Pages) ATMEL | 8-bit AVR with 8K Bytes In ...

ATMEGA8/48/88/168/328 Project Kit – Fares PCB

Купить ATMEGA8 на складе КОСМОДРОМ, Харьков, Украина

Unveiling the ATmega8 Microcontroller: Features and Applications

ATMEGA8/48/88/168/328 Project Kit – Fares PCB

Buy Reland Sun 2PCS ATMEGA32A-PU ATMEGA8-16PU ATTINY2313A-PU ATMEGA16A ...

Изображение

ATMEGA8A-AU-ATMEGA8L-8AU-ATMEGA8-16AU-ATMEGA16M1-AU-ATMEGA16U2-AU ...

Аналоговый компаратор ATmega8 - Микроконтроллеры PIC, AVR, TI, STM, ARM ...

Аналоговый компаратор ATmega8 - Микроконтроллеры PIC, AVR, TI, STM, ARM ...

ATMEGA8 28PIN at Best Price in Chennai | Sensor Embedded

1 قطعة/الوحدة ATMEGA8-16AU ATMEGA8 TQFP-32 100٪ جديد في المخزون: Buy ...

Купить ATMEGA8 на складе КОСМОДРОМ, Харьков, Украина

[ATmega8] tqfp32 smd płytka prototypowa - elektroda.pl Engineering ...

Counter on Atmega8 + PCB design | Freelancer

Частотомер на Atmega8: характеристики, особенности применения

ATmega8(L). Figure 0-36. Internal Oscillator Speed. Figure 0-37. 300 ...

ATMEGA8-16PU 8-bit AVR Microcontroller 16MHZ 8KB Flash 28-Pin PDIP ...

Atmega8 VA meter – Circuits DIY

ATMEGA8-16PU MICROCHIP Embedded Processors & Controllers - Jotrin ...

ATmega8(L). Figure 0-6. Figure 0-7. 285 - Datasheet ATmega8, ATmega8L Atmel

ATMEGA328 OR ATMEGA8 WITH LM2596 BOARD PCB ET9583 – Emerging Technologies

ATMEGA8A-PU ATMEGA8L-8PU ATMEGA8-16PU ATMEGA8-16PI单片机DIP_虎窝淘

Jual ATMEGA8 TQFP SMD 32 Pin IC Microcontroller Atmel 8 bit ATMEGA 8 di ...

ATmega8(L). Figure 0-24. Figure 0-25. 294 - Datasheet ATmega8, ATmega8L ...

ATmega8(L). Figure 0-30. Figure 0-31. 297 - Datasheet ATmega8, ATmega8L ...

PCB ATMEGA8 - PCB Minsis minsys Atmega8 48 88 Atmega328 168 Arduino AVR ...

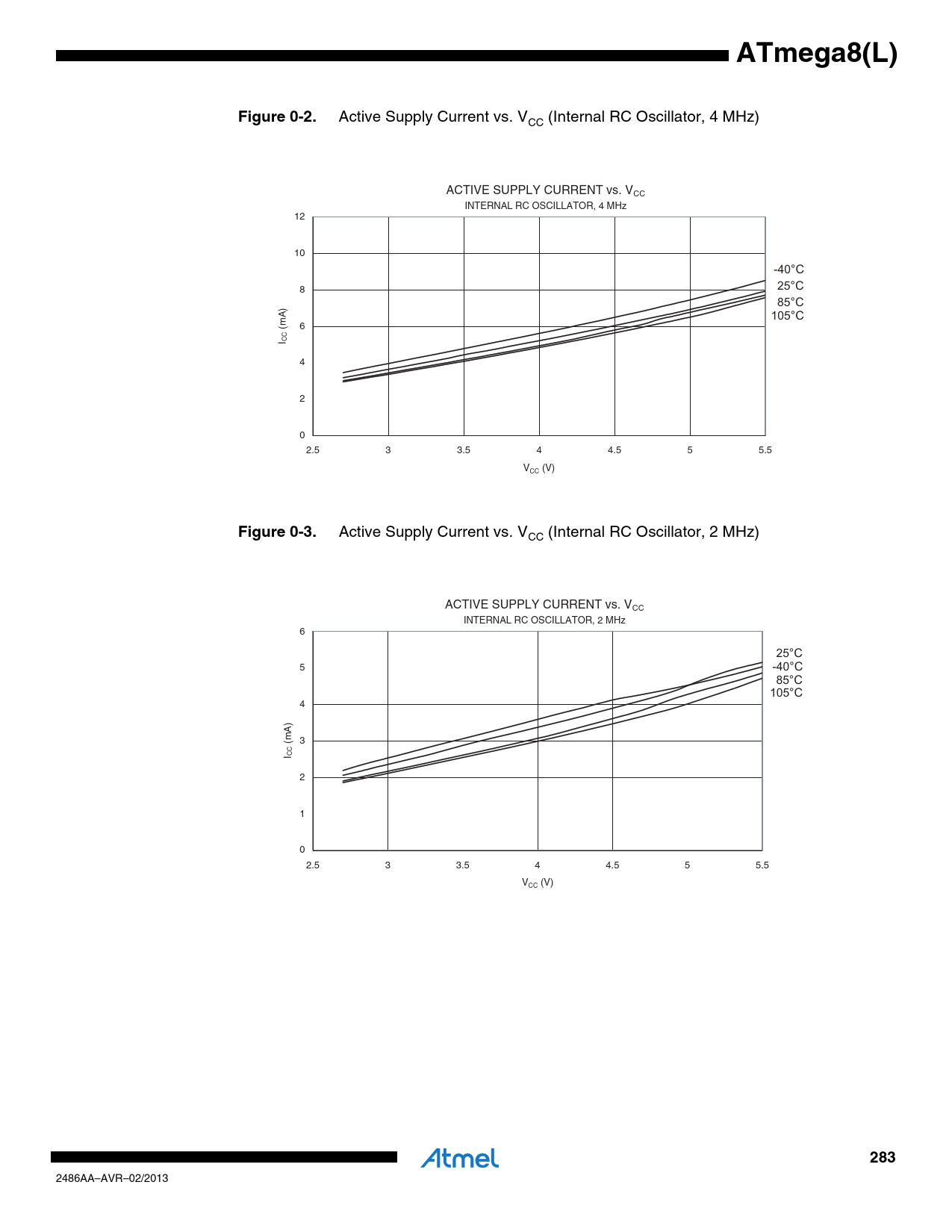
ATmega8(L). Figure 0-2. Figure 0-3. 283 - Datasheet ATmega8, ATmega8L Atmel

ATMEL ATMEGA8-16PU ATMEGA8 16Pu Dip28 Dip-28 Ic Chips £4.99 - PicClick UK

Atmega8 là gì? Sơ đồ chân, ứng dụng và cách sử dụng – Điện tử sáng tạo VN

[ATmega8] tqfp32 smd płytka prototypowa - elektroda.pl | Enamel pins ...

  • Вперед Норман ридус
  • Назад При повороте руля налево слышен хруст

Новые страницы

Доска с бортиками высотой 5 мм размером 1000х500 мм с покрытием из плексигласа или стекла

Федеральный закон о спорте

Гибкая черепица технониколь architect монтаж

Гостиницы в майкопе недорого переночевать цены

Как проверить катушку зажигания на газели

Кассационная жалоба на апелляционное определение образец

Кран шаровый угловой для стиральных машин

Математика номер 1042

На юг к морю

Обкатка зимней шипованной резины yokohama

Образец исследовательского проекта 10 класс

Образец приказа о назначении ответственного за организацию обработки персональных данных

Политические элиты и лидерство

Правила организации противоаварийных тренировок

Правила в картинках 1 класс

Регулировка ручника газ 3110

Русский язык 4 класс часть 2 упражнение 244

Schneider electric lc1e09

Сегменты печени кт

Схема деления мейоза

Схема мариинского театра 2 с указанием мест

Схипхол аэропорт

Штатная магнитола рено распиновка

Скачать сериал есенин бесплатно

Спортивные игры фоп

Спортлото из 45 проверить билет

Стр 55 номер 4 математика 1 класс

Тхэквондо олимпийский вид спорта

Тройник сантехнический пластиковый

Замена ходовых огней на солярисе

cdn.zecar.ru