Skip to content

Фотогалерея

  • Главная
  • Контакты

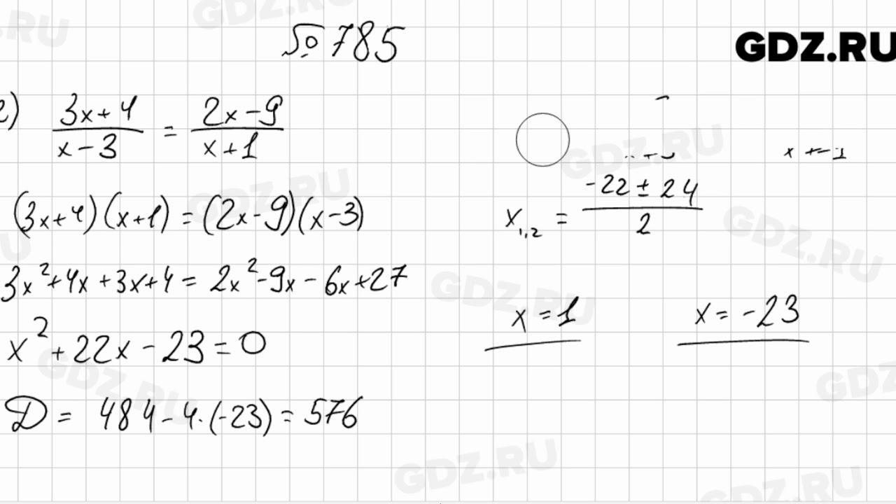
Алгебра номер 785

ГДЗ номер 785 геометрия 8 класс Мерзляк, Полонский

ГДЗ номер 785 алгебра 9 класс Никольский, Потапов

ГДЗ номер 785 алгебра 9 класс Никольский, Потапов

ГДЗ номер 785 алгебра 8 класс Мерзляк, Полонский

Номер 785 - ГДЗ по геометрии за 10 и 11 класс Атанасян с подробным решением

ГДЗ номер 785 алгебра 8 класс Мерзляк, Полонский

ГДЗ номер 785 алгебра 8 класс Мерзляк, Полонский

ГДЗ номер 785 алгебра 7 класс Мерзляк, Полонский

ГДЗ номер 785 алгебра 7 класс Мерзляк, Полонский

ГДЗ номер 785 алгебра 7 класс Мерзляк, Полонский

ГДЗ номер 785 алгебра 7 класс Мерзляк, Полонский

Номер 785 - ГДЗ по алгебре за 8 класс Мерзляк, Полонский ответы из учебника

ГДЗ номер 785 алгебра 7 класс Мерзляк, Полонский

Номер 785 - ГДЗ по алгебре за 8 класс Мерзляк, Полонский ответы из учебника

Номер 785 - ГДЗ по алгебре 9 класс Макарычев, Миндюк, Нешков

Номер 785 - ГДЗ по алгебре 7 класс Макарычев, Миндюк, Нешков

Номер 785 - ГДЗ по алгебре 7 класс Макарычев, Миндюк, Нешков

Номер 785 - ГДЗ по алгебре 9 класс Макарычев, Миндюк, Нешков

Номер 785 - ГДЗ по алгебре 9 класс Макарычев, Миндюк, Нешков

Номер №785 - ГДЗ по Геометрии 7-9 класс: Атанасян Л.С.

Номер №785 - ГДЗ по Математике 6 класс: Никольский С.М.

Номер №785 - ГДЗ по Алгебре 9 класс: Мерзляк А.Г.

Номер №785 - ГДЗ по Алгебре 9 класс: Мерзляк А.Г.

Номер 785 - ГДЗ по алгебре 7 класс Колягин, Ткачева, Федорова, Алимов

Номер 785 - ГДЗ по алгебре за 7 класс Мерзляк, Полонский, Якир

Номер 785 - ГДЗ по алгебре 8 класс Макарычев, Миндюк с ответом и решением

Номер 785 - ГДЗ по алгебре 8 класс Макарычев, Миндюк с ответом и решением

Номер №785 - ГДЗ по Алгебре 7 класс: Мерзляк А.Г.

Номер №785 - ГДЗ по Алгебре 7 класс: Мерзляк А.Г.

ГДЗ по математике 5 класс Дорофеев, Шарыгин, Суворова номер 785

785 - Алгебра 7 класс Колягин - YouTube

785 - Алгебра 9 класс Мерзляк - YouTube

785 - Алгебра 7 класс Мерзляк - YouTube

785 - Алгебра 8 класс Мерзляк - YouTube

Вся Алгебра в ОГЭ за 42 минуты - YouTube

  • Вперед Придаточный союз это
  • Назад Нравственные качества и спорт

Новые страницы

Алгебра 9 класс номер 839

Алгебра номер 785

Беседка из круглой трубы своими руками

Черная карта карателей беларуси

Дрейн картинки аниме

Ершова гдз 8 класс алгебра

Этикет виды этикета презентация

Ганс христиан андерсен соловей

Gc5

Грузоперевозки лиски

И вот уже и трепещут и горят забрызганные росой ветки стройных деревьев

Ирина федоровна с днем рождения картинки красивые

Клинок рассекающий демонов тренировка столпов трейлер

Лада калина в туле

Монтаж стен из гипрока

Паркур тренировки

Паспорт собаки образец

Поразмыслить приставка

Ппр на отделочные работы скачать бесплатно образец

Русский язык 6 класс упражнение 570

Рузи саиди чумъа муборак бошад картинки

Схема питания лугового сообщества 4 класс окружающий

Схема ремня транзит

Соревнования по 10 видам спорта сканворд 8

Умная каска

Устройство воздушного фильтра

Vkjc8149

Вязаные украшения на шею крючком схемы и описание

Заклинило замок задней двери

Заусенец картинка прикол

cdn.zecar.ru