Skip to content

Фотогалерея

  • Главная
  • Контакты

Алгебра 8 класс мерзляк 818

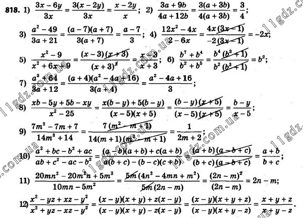
ГДЗ номер 818 алгебра 8 класс Мерзляк, Полонский

Купити книгу Алгебра. Підручник для 8 класу - Аркадій Мерзляк, Віталій ...

Мерзляк Алгебра 7 клас Підручник "Гімназія" - Алгебра 7 клас Підручники ...

ГДЗ номер 181 алгебра 8 класс Мерзляк, Полонский

КР-8. КВАДРАТНЫЕ УРАВНЕНИЯ. ТЕОРЕМА ВИЕТА. АЛГЕБРА 8 КЛАСС (УГЛ ...

ГДЗ номер 818 алгебра 8 класс Мерзляк, Полонский

818 » Вправи 801 - 913 » ГДЗ Алгебра 8 клас Мерзляк 2021

Алгебра 11 класс - Мерзляк А.Г., Номировский Д.А., Полонский В.Б. и др ...

Задание №43 (1-4) – Гдз по алгебре 8 класс (Мерзляк) - YouTube

Алгебра 7 Класс Картинки Учебника – Telegraph

Математика. Алгебра. Методические рекомендации. 7-9 классы (к учебным ...

Геометрия 8 класс. Проверочные работы. УМК"Геометрия Мерзляка". ФГОС ...

Номер 818 - ГДЗ по алгебре за 8 класс Мерзляк, Полонский ответы из учебника

Алгебра 8 класс. Методическое пособие - Буцко Е.В., Мерзляк А.Г. и др ...

Дидактические материалы Алгебра 8 класс - IRMAG.RU

Алгебра., 8 клас. Мерзляк А.Г., Полонський В.Б., Якір М.С.: продажа ...

Алгебра (поглиблене вивчення). 7 клас. Мерзляк А. Г. | Svarog

Алгебра., 9 класс. Мерзляк А.Г., Полонский В.Б., Якир М.С.: продажа ...

Купить дидактический материал по геометрии 8 класс , авт. Мерзляк А.Г ...

алгебра 8 клас збірник задач і контрольних робіт Мерзляк 9789664742839

Calameo - Підручник Алгебра 8 клас Істер 2016

Итоговая Контрольная Работа 7 Класс Алгебра Мерзляк – Telegraph

ГДЗ § 31 31.5 алгебра 8 класс Мерзляк, Поляков

ОК ГДЗ Алгебра 9 класс Мерзляк Дидактические | Гарантия хорошей оценки

Алгебра 8 класс мерзляк углубленный уровень учебник купить — купить по ...

Алгебра 8 класс мерзляк углубленный уровень учебник купить — купить по ...

Алгебра 8 класс. Технологические карты уроков по учебнику Мерзляка ...

Варинат 1 номер 140 - ГДЗ по алгебре 8 класс Мерзляк, Полонский ...

ГДЗ номер 788 алгебра 8 класс Мерзляк, Полонский

мерзляк алгебра і початки аналізу 10 клас профільний рівень підручник ...

  • Вперед Новосибирский городской драматический театр под руководством сергея афанасьева
  • Назад Приказ о медосмотре на предприятии образец

Новые страницы

Акт ввода ультрафиолетовой бактерицидной установки в эксплуатацию образец

Алгебра 8 класс мерзляк 818

Что такое генотип и фенотип в биологии

Докажите что треугольник равнобедренный

Фото палтус

Гдз по математике башмакова четвертый класс

Гдз по немецкому языку 11 класс радченко

Каков механизм установления равновесной цены общество 8 класс кратко

Карта идеологий мира

Картинки для сравнения на английском 4 класс

Keyless entry push start

Клубы по видам спорта

Куркумин польза

Мануал шевроле каптива

Меланома кожи лечение народными средствами

На силу тренировка программа для мужчин

Nano3 какая среда

Ороситель дренчерный двв 10

Первая микросхема в мире

Полировка айфона от царапин

Программа тренировок футбол

Рисунок схема 1 класс

Схема 7 автобуса

Штукатурка механизированным способом

Сколько стоит установить реечный потолок

Служебная записка о замене принтера в связи с его неисправностью образец

Sports ru сайты

Строительно монтажные работы услуги

Тренировочные варианты егэ математика с ответами

Закрыли кота на балконе зимой

cdn.zecar.ru