Skip to content

Фотогалерея

  • Главная
  • Контакты

Алгебра 778

778 – Besh Plus

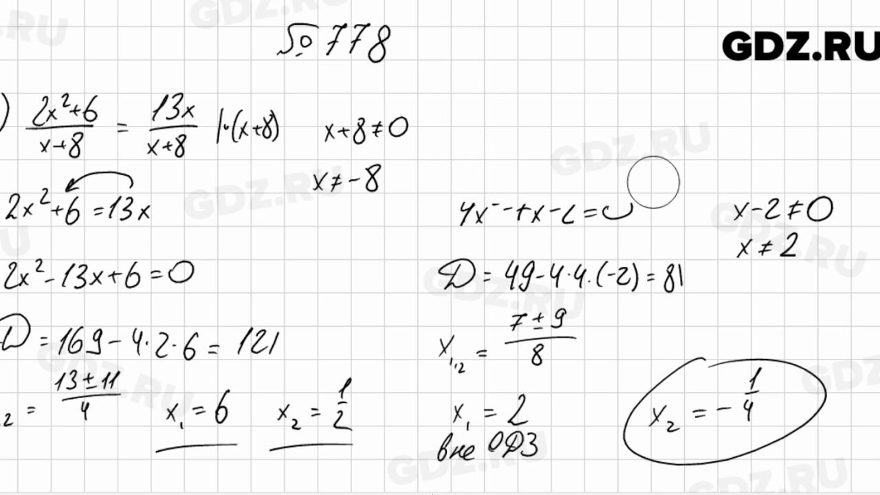
ГДЗ номер 778 алгебра 9 класс Никольский, Потапов

ГДЗ номер 778 алгебра 9 класс Никольский, Потапов

ГДЗ вправа 778 алгебра 7 класс Истер

ГДЗ упражнение 778 алгебра 9 класс Мерзляк, Полонский

Ответы ГДЗ Алгебра за 7 класс Углубленный уровень Номера задач: 778

Номер 778 - ГДЗ по алгебре за 8 класс Мерзляк, Полонский ответы из учебника

Номер 778 - ГДЗ по алгебре за 8 класс Мерзляк, Полонский ответы из учебника

Номер 778 - ГДЗ по алгебре за 8 класс Мерзляк, Полонский ответы из учебника

ГДЗ упражнение 778 алгебра 7 класс Колягин, Ткачева

ГДЗ упражнение 778 алгебра 7 класс Колягин, Ткачева

ГДЗ номер 778 алгебра 7 класс Мерзляк, Полонский

ГДЗ номер 778 алгебра 7 класс Никольский, Потапов

Номер 778 - ГДЗ по алгебре за 7 класс Мерзляк, Полонский, Якир

Номер №778 - ГДЗ по алгебре 9 класс Мерзляк, Полонский, Якир с ...

Номер 778 - ГДЗ по алгебре 7 класс Макарычев, Миндюк, Нешков

Номер 778 - ГДЗ по алгебре 8 класс Макарычев, Миндюк с ответом и решением

Номер 778 - ГДЗ по алгебре 8 класс Макарычев, Миндюк с ответом и решением

ГДЗ номер 778 алгебра 8 класс Никольский, Потапов

ГДЗ Номер 778 Алгебра 7 класс Дорофеев | Гарантия оценки

Множення многочленів (Алгебра 7 клас) - YouTube

Номер 778 - 7 клас Алгебра Істер 2015 рік | Портфель

778 - Алгебра 8 класс Мерзляк - YouTube

778 - Алгебра 7 класс Мерзляк - YouTube

778 - Алгебра 9 класс Мерзляк - YouTube

Вся Алгебра в ОГЭ за 42 минуты - YouTube

756 - Алгебра 7 класс Мерзляк - YouTube

Алгебра 7 класс. Степень числа, часть 3 - YouTube

Алгебра 7 класс. Степень числа, часть 4 - YouTube

Связи между величинами. Функция. Алгебра 7кл. Мерзляк 778 - YouTube

Алгебра. 7 класс. Базовый уровень. Электронная форма учебного пособия

Алгебра 7 класс. Степень с натуральным показателем и ее свойства - YouTube

Алгебра 7 класс. Деление степеней с одинаковыми основаниями - YouTube

Алгебра 7 класс. Деление степеней с одинаковыми основаниями смешанными ...

СОР №1 – Алгебра ОГН — 11 класс — 3 четверть | СКУЛХАК

  • Вперед Бассейны в отелях
  • Назад E13009 2

Новые страницы

44 Школа липецк

Аваланш шевроле

Что такое vgt хендай гранд старекс

Фитнес рузаевка

Гдз по математике 5 класс 2 часть номер 817

Готовый дизайн проект дома

Гранд витара внедорожник или паркетник

Гуля с днем рождения картинки красивые с пожеланиями бесплатно

Износ шин как определить

Как определить застой молока у кормящей матери

Как открутить вискомуфту уаз 409

Карта узбекистана с городами на русском языке с областями подробная с городами и поселками

Квилинговые поделки схемы как делать

Москва в 1949 году

Напишите уравнения реакций схемы превращений

Номер 510 по математике 6 класс

Плакат юнармия рисунок

Подключение плафона освещения салона приора

Презентация по родному русскому языку 2 класс по одежке встречают

Приора какую поршневую поставить

Рисунок храм

Схема аэропорта домодедово международные

Схемы смоленской области

Скачать виалон

Союзсерт

Старые аниме фильмы

Установка сигнализации тюмень

Ваз 2107 карбюратор устройство

Ваз 2115 лампочки на панели приборов

Включение сигнала поворота

cdn.zecar.ru