Skip to content

Фотогалерея

  • Главная
  • Контакты

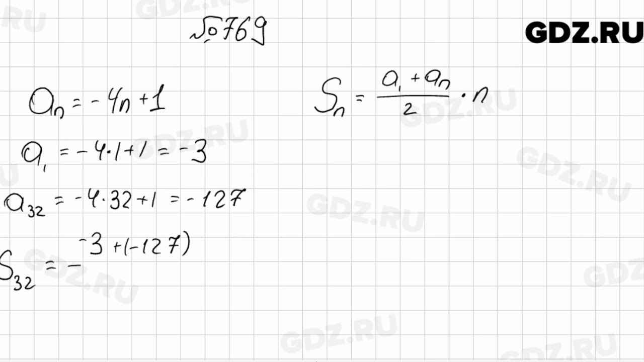
Алгебра 769

769 – Besh Plus

ГДЗ номер 769 алгебра 9 класс Никольский, Потапов

ГДЗ номер 769 алгебра 9 класс Никольский, Потапов

ГДЗ вправа 769 алгебра 8 класс Бевз, Бевз

ГДЗ упражнение 769 алгебра 9 класс Мерзляк, Полонский

ГДЗ номер 769 алгебра 9 класс Дорофеев, Суворова

ГДЗ задание 769 алгебра 9 класс Колягин, Ткачева

ГДЗ задание 769 алгебра 9 класс Колягин, Ткачева

ГДЗ задание 769 алгебра 9 класс Колягин, Ткачева

ГДЗ упражнение 769 алгебра 7 класс Дорофеев, Суворова

ГДЗ упражнение 769 алгебра 9 класс Мерзляк, Полонский

ГДЗ номер 769 алгебра 9 класс Дорофеев, Суворова

ГДЗ упражнение 769 алгебра 10 класс Колягин, Ткачева

Номер 769 - ГДЗ по алгебре за 8 класс Мерзляк, Полонский ответы из учебника

Номер 769 - ГДЗ по алгебре за 8 класс Мерзляк, Полонский ответы из учебника

ГДЗ номер 769 алгебра 7 класс Мерзляк, Полонский

ГДЗ номер 769 алгебра 7 класс Мерзляк, Полонский

ГДЗ упражнение 769 алгебра 7 класс Колягин, Ткачева

Номер №769 - ГДЗ по алгебре 9 класс Мерзляк, Полонский, Якир с ...

Номер 769 - ГДЗ по алгебре 9 класс Макарычев, Миндюк, Нешков

Номер 769 - ГДЗ по алгебре 9 класс Макарычев, Миндюк, Нешков

Номер 769 - ГДЗ по алгебре 7 класс Макарычев, Миндюк, Нешков

Номер 769 - ГДЗ по алгебре 7 класс Макарычев, Миндюк, Нешков

ГДЗ упражнение 769 алгебра 8 класс Макарычев, Миндюк

Номер 769 - ГДЗ по алгебре 8 класс Макарычев, Миндюк с ответом и решением

Номер 769 - ГДЗ по алгебре 8 класс Макарычев, Миндюк с ответом и решением

Номер 769 - ГДЗ по алгебре 9 класс Алимов, Колягин, Сидоров

Номер 769 - ГДЗ по алгебре 7 класс Колягин, Ткачева, Федорова, Алимов

ГДЗ задание 769 алгебра 7 класс Макарычев, Миндюк

ГДЗ задание 769 алгебра 9 класс Макарычев, Миндюк

ГДЗ упражнение 769 алгебра 9 класс Макарычев, Миндюк

ГДЗ Номер 769 Алгебра 8 класс Дорофеев | Гарантия хорошей оценки

769 - Алгебра 9 класс Мерзляк - YouTube

769 - Алгебра 7 класс Колягин - YouTube

769 - Алгебра 8 класс Мерзляк - YouTube

  • Вперед Абу даби где находится
  • Назад Втулка м3

Новые страницы

Акт высадки деревьев образец

Алгебра 769

Apa2308 схема включения

Биология 5 класс 15 параграф ответы на вопросы

Гдз 648

Гдз математика 6 класс 1183

Хоттабыч химчистка в йошкар оле

Ipeye ru

Испания болельщики

Какие шатуны на приоре

Карта с автобусами онлайн воронеж

Картины вячеслава зайцева в третьяковской галерее

Коралловый фон для презентации

Кремль векторный рисунок

Наив 20 лет одиночества

Направляющая для циркулярной пилы своими руками чертежи

Ниссан ад томск

Ниссан тиида магнитола штатная инструкция

Образец чек листа

Опель в вологде

Пряничный человечек крючком схема и описание

Расписка в получении трудовой книжки образец

Шале турция

Схема химические технологические процессы

Спортивные элементы

Световые схемы

Техническое обоснование образец как написать

Тенсегрити

Трансформатор твк 110

Троить что это значит жаргон

cdn.zecar.ru