Skip to content

Фотогалерея

  • Главная
  • Контакты

Алгебра 7 класс номер 1155

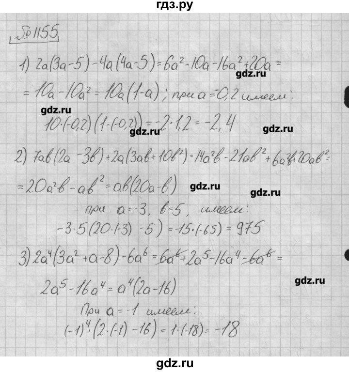
ГДЗ номер 1155 алгебра 7 класс Мерзляк, Полонский

ГДЗ номер 1155 алгебра 7 класс Мерзляк, Полонский

ГДЗ номер 1155 алгебра 7 класс Мерзляк, Полонский

ГДЗ номер 1155 алгебра 7 класс Мерзляк, Полонский

ГДЗ номер 1155 алгебра 9 класс Никольский, Потапов

ГДЗ номер 1155 алгебра 9 класс Никольский, Потапов

Номер 1155 - ГДЗ по алгебре за 7 класс Мерзляк, Полонский, Якир

Номер 1155 - ГДЗ по алгебре 7 класс Макарычев, Миндюк, Нешков

Номер 1155 - ГДЗ по алгебре 7 класс Макарычев, Миндюк, Нешков

Задание, номер 1155 - ГДЗ по алгебре 7 класс Макарычев, Миндюк

Номер №1155 - ГДЗ по Алгебре 7 класс: Мерзляк А.Г.

Номер №1155 - ГДЗ по Алгебре 7 класс: Мерзляк А.Г.

Номер №1155 - ГДЗ по Алгебре 7 класс: Мерзляк А.Г.

Номер 1155 - ГДЗ по алгебре 8 класс Макарычев, Миндюк с ответом и решением

Номер задания №1155 - ГДЗ по Алгебре 8 класс: Макарычев Ю.Н.

Номер задания №1155 - ГДЗ по Алгебре 8 класс: Макарычев Ю.Н.

Задание, номер 1155 - ГДЗ Сборник вопросов и задач по физике 7-9 класс ...

Задание № 1155 - Алгебра 7 класс (Макарычев) - YouTube

ГДЗ номер 468 алгебра 7 класс Алимов, Колягин

ГДЗ номер 1 алгебра 7 класс Алимов, Колягин

ГДЗ номер 419 алгебра 7 класс Алимов, Колягин

Алгебра 7 Контрольные Мерзляк ДМ - ГДЗ, ОТВЕТЫ

Гдз Математика 7 Класс : Алгебра 7 класс Мерзляк Учебник (мягкая обл ...

(Решено)Упр.560 ГДЗ Муравин 7 класс по алгебре

Алгебра 7 Дорофеев КР-04 . Контрольная работа + Ответы

ГДЗ Алгебра 7 класс Макарычев, Теляковский 2024 ФГОС, Решение, Номера, 155

ГДЗ Номер 114 Алгебра 7 класс Алимов | Гарантия хорошей оценки

Номер 1273 - ГДЗ по алгебре за 7 класс Мерзляк, Полонский, Якир

Номер 736 - ГДЗ по алгебре 7 класс Макарычев, Миндюк, Нешков

Номер 1154 - ГДЗ по алгебре 7 класс Макарычев, Миндюк, Нешков

Номер 1158 - ГДЗ по алгебре 7 класс Макарычев, Миндюк, Нешков

Алгебра 7 класс К-7 (угл.) с ответами . Контрольная работа

ГДЗ номер 311 алгебра 7 класс Никольский, Потапов

ГДЗ номер 368 алгебра 7 класс Никольский, Потапов

Номер 844 - ГДЗ по алгебре 7 класс Макарычев, Миндюк, Нешков

  • Вперед Как занизить модельку ваз 2108
  • Назад Беседка в стиле хай тек своими руками

Новые страницы

Алгебра 7 класс номер 1155

Ассистент подъема в гору skoda rapid

Бип сервис барвиха шиномонтаж

Что такое алопеция у женщин фото

Гдз математика 6 класс номер 417

Гдз по англ яз 5кл

Гдз по русскому языку 3 класс 2 часть упражнение 117

Как связать манишку для женщины схема

Киа сид универсал размер шин

Летние цветы картинки для детей

Лорант

Микросхема к176ие12 описание и схема включения

Не включается кондиционер приора

Образец заявления налоговой декларации

Одежда patrick

Ооо блок бокс

Отличие кастрол эдж от магнатек

Перья из бумаги

Счетчик воды всхн 50

Сестрица аленушка и братец иванушка сказка читать полностью с картинками

Схемы распределения электрической энергии

Снять жабо

Сочинение шишкин утро в сосновом лесу

Театр эстрады им а райкина

Услуги металловоза с манипулятором

Установка powershell

Вилка 2

Высотка проект екатеринбург

Замена вакуума

Заявление о возврате излишне перечисленных денежных средств образец

cdn.zecar.ru