Skip to content

Фотогалерея

  • Главная
  • Контакты

Алгебра 7 класс колягин 627

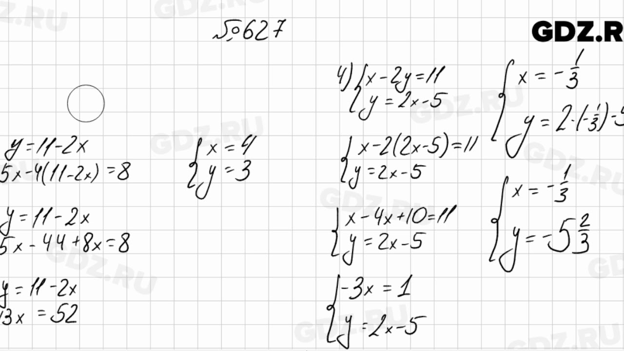
ГДЗ упражнение 627 алгебра 7 класс Колягин, Ткачева

ГДЗ по Алгебре 7 класс Макарычев, Миндюк, Суворова Учебник - решебник

ГДЗ по Алгебре 7 класс учебник Колягина задание 452 ответы

ГДЗ Алгебра 7 класс Макарычев, Теляковский 2024 ФГОС, Решение, Номера, 155

Алгебра 7 Дорофеев КР-10 . Контрольная работа + ответы

ГДЗ упражнение 625 алгебра 7 класс Колягин, Ткачева

ГДЗ упражнение 876 алгебра 10 класс Колягин, Ткачева

ГДЗ упражнение 627 алгебра 7 класс Колягин, Ткачева

Математика. Алгебра. 7 класс. Учебник. Базовый уровень | Нешков ...

ГДЗ упражнение 627 алгебра 11 класс Колягин, Ткачева

ГДЗ упражнение 621 алгебра 7 класс Колягин, Ткачева

ОК ГДЗ Алгебра 10 класс Колягин | Гарантия хорошей оценки

ГДЗ упражнение 287 алгебра 11 класс Колягин, Ткачева

Решение номер №676 по Алгебре за 8 класс Ш.А. Алимов, Ю.М. Колягин, Ю.В ...

ГДЗ упражнение 627 алгебра 7 класс Колягин, Ткачева

Алгебра. 7 класс. Учебник. Углублённый уровень - Макарычев Ю.Н ...

ГДЗ упражнение 249 алгебра 7 класс Колягин, Ткачева

Логические Задачи По Геометрии 7 Класс С Ответами - buddiestopik

ГДЗ упражнение 384 алгебра 7 класс Колягин, Ткачева

ГДЗ упражнение 652 алгебра 7 класс Колягин, Ткачева

Презентация Алгебра 7 класс. Числовые выражения. Арифметические ...

Номер 627 - ГДЗ по алгебре 7 класс Колягин, Ткачева, Федорова, Алимов

Алгебра, 7 клас (тверда обкладенка) Мерзляк А.Г., Полонський В.Б., Якір ...

Алгебра. 7 класс. Учебник.

Алгебра. 7 класс, (2008). Мерзляк А. Г. | Svarog

ГДЗ по Алгебре 7 класс учебник Колягина задание 738 ответы

Алгебра 7 класс макарычев упражнение 630 – Telegraph

Домашняя работа по алгебре 7 класс колягин ткачева федорова шабунин ...

ГДЗ упражнение 627 алгебра 7 класс Колягин, Ткачева

627 - Алгебра 7 класс Колягин - YouTube

Номер 627 - ГДЗ по алгебре 7 класс Колягин, Ткачева, Федорова, Алимов

Бунимович Е.А. Алгебра. 7 класс. Учебник Сферы - купить с доставкой по ...

«Математика: алгебра и начала математического анализа, геометрия ...

Контрольные работы по алгебре 8 класс Мордкович - математика, прочее

Номер 627 - ГДЗ по алгебре 7 класс Колягин, Ткачева, Федорова, Алимов

  • Вперед Английский язык 6 класс стр 61 номер 8
  • Назад Слова с буквой е без ударения

Новые страницы

Алгебра 7 класс колягин 627

Анонимные созависимые coda

Берег каспийского моря в махачкале

Что такое грань в прямоугольном параллелепипеде

Диагностика лямбда зонда минск

Дорожная карта осуществления воспитательной деятельности в доу

Екатерининский дворец пушкин

Гдз 512 русский язык 6 класс

Гдз английский баранова 7 класс

Гдз по математике 6 класс 2 часть упр 340

Геометрия номер 308 7 класс

Германское метро

Глюкоза naoh cuso4

Кафе барин

Карта пятерочки для скидки штрих код

Маршрут движения 173 чебоксары цивильск схема с остановками

Морской червь красное море

Один куб бетона

Отделка новостройки

По одному из наглядных изображений рис 161 выполните в тетради чертеж детали в трех видах

Прайс на кровельные работы 2021

Расписка о компенсации ущерба при затоплении квартиры образец

Регулятор редуктор давления itap 360

Сантехника под плитку в ванной

Симпатическая и парасимпатическая рефлекторная дуга схема

Словосочетание со словом песцовый

Составьте схему соединения источника тока лампочки

Свитч сетевой

Замена резонатора на гранте

Заполнение инвентарной карточки 0504031 по 52н образец заполнения

cdn.zecar.ru