Skip to content

Фотогалерея

  • Главная
  • Контакты

Алгебра 676

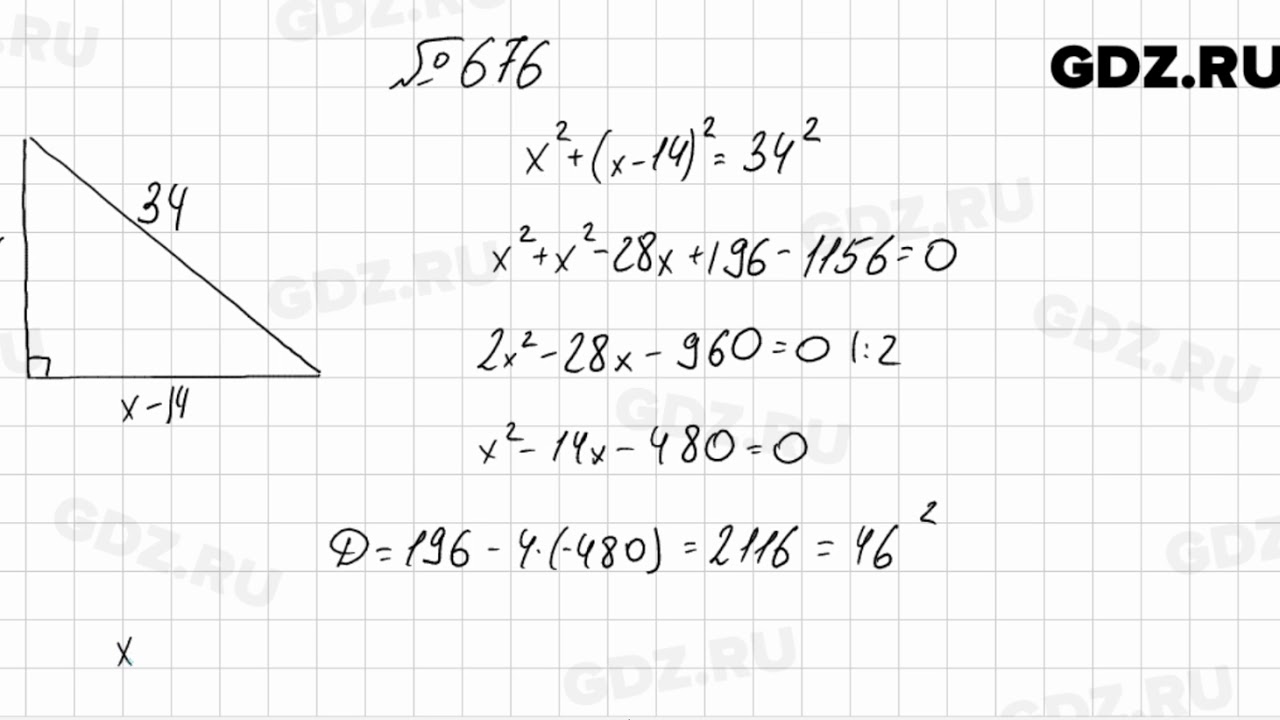
ГДЗ упражнение 676 алгебра 9 класс Макарычев, Миндюк

ГДЗ упражнение 676 алгебра 8 класс Макарычев, Миндюк

ГДЗ упражнение 676 алгебра 9 класс Мерзляк, Полонский

ГДЗ номер 676 алгебра 7 класс Мерзляк, Полонский

ГДЗ упражнение 676 алгебра 8 класс Макарычев, Миндюк

ГДЗ задание 676 алгебра 8 класс Макарычев, Миндюк

Номер 676 - ГДЗ по алгебре 9 класс Макарычев, Миндюк, Нешков

ГДЗ задание 676 алгебра 9 класс Колягин, Ткачева

ГДЗ упражнение 676 алгебра 9 класс Макарычев, Миндюк

ГДЗ номер 676 алгебра 8 класс Мерзляк, Полонский

ГДЗ упражнение 676 алгебра 8 класс Колягин, Ткачева

ГДЗ упражнение 676 алгебра 7 класс Колягин, Ткачева

ГДЗ номер 676 алгебра 7 класс Никольский, Потапов

Номер 676 - ГДЗ по алгебре 7 класс Макарычев, Миндюк, Нешков

ГДЗ номер 676 алгебра 9 класс Дорофеев, Суворова

Номер задания №676 - ГДЗ по Алгебре 9 класс: Макарычев Ю.Н.

ГДЗ упражнение 676 алгебра 9 класс Мерзляк, Полонский

ГДЗ задание 676 алгебра 7 класс Макарычев, Миндюк

Упражнение № 676 – ГДЗ Алгебра 7 класс – Мерзляк А.Г., Полонский В.Б ...

Номер 676 - ГДЗ по алгебре 8 класс Макарычев, Миндюк с ответом и решением

Номер задания №676 - ГДЗ по Алгебре 7 класс: Макарычев Ю.Н.

ГДЗ задание 676 алгебра 9 класс Макарычев, Миндюк

ГДЗ задание 676 алгебра 8 класс Макарычев, Миндюк

ГДЗ номер 676 алгебра 7 класс Никольский, Потапов

Номер - 676 гдз по алгебре 7 класс Макарычев, Миндюк

ГДЗ упражнение 676 алгебра 10-11 класс Алимов, Колягин

Решение номер №676 по Алгебре за 8 класс Ш.А. Алимов, Ю.М. Колягин, Ю.В ...

676 - Алгебра 8 класс Мерзляк - YouTube

Номер задания №676 - ГДЗ по Алгебре 7 класс: Макарычев Ю.Н.

676 – Besh Plus

ГДЗ номер 676 алгебра 8 класс Мерзляк, Полонский

ГДЗ номер 676 алгебра 7 класс Мерзляк, Полонский

ГДЗ номер 676 алгебра 7 класс Мерзляк, Полонский

ГДЗ упражнение 676 алгебра 8 класс Дорофеев, Суворова

Номер задания №676 - ГДЗ по Алгебре 9 класс: Макарычев Ю.Н.

  • Вперед Эскизы волк оскал
  • Назад Отель аннушка санкт петербург

Новые страницы

Алина романова

Дмитрий михайлович с днем рождения картинки

Договор оказания услуг почасовая оплата образец

Электропривод для штор своими руками

Этапы внедрения crm системы

Это был самый худший день

Как демонтировать сплит

Клининговые услуги в туле

Коллективная жалоба на руководителя от сотрудников образец

Крылова симферополь карта

Мерзляк 6 класс 1034

Морская свинка из мультика

Москвич 412 предохранители

Натяжка ручника ваз 2107

Nf 8601 ru

Официальные извинения письмо образец

Орехово луганская область карта

Панель приборов мерседес 124 обозначение

Письмо бабушке 3 класс по русскому языку образец как написать

Royal thermo biliner 500 bianco traffico

Сценик 1 электросхема

Схема парка горького москва

Снятие моторчика печки приора с кондиционером

Спортивное ориентирование краснодарский

The internet for better or for worse

Установите соответствие между элементами блок схемы и их назначением

Виды измерений схема

Вск страхование

Зажим для крепления кабеля

Зеленая роща санаторий мвд

cdn.zecar.ru