Skip to content

Фотогалерея

  • Главная
  • Контакты

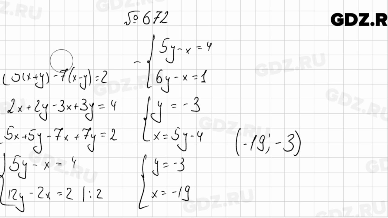
Алгебра 672

672 шап (672 нбап) ВВС КА в ВОВ - самолеты и эмблемы

672 – Besh Plus

ГДЗ упражнение 672 алгебра 7 класс Дорофеев, Суворова

Номер 672 ответ ГДЗ алгебра 7 класс учебник Макарычев Теляковский ...

Номер 672 - ГДЗ по алгебре за 8 класс Мерзляк, Полонский ответы из учебника

Номер 672 - ГДЗ по алгебре за 8 класс Мерзляк, Полонский ответы из учебника

ГДЗ упражнение 672 алгебра 7 класс Колягин, Ткачева

ГДЗ упражнение 672 алгебра 10 класс Колягин, Ткачева

ГДЗ упражнение 672 алгебра 10-11 класс Алимов, Колягин

ГДЗ упражнение 672 алгебра 7 класс Колягин, Ткачева

ГДЗ упражнение 672 алгебра 7 класс Колягин, Ткачева

ГДЗ упражнение 672 алгебра 7 класс Колягин, Ткачева

ГДЗ упражнение 672 алгебра 8 класс Макарычев, Миндюк

Номер 672 - ГДЗ по алгебре 7 класс Макарычев, Миндюк, Нешков

Номер 672 - ГДЗ по алгебре 7 класс Макарычев, Миндюк, Нешков

ГДЗ упражнение 672 алгебра 8 класс Макарычев, Миндюк

ГДЗ номер 672 алгебра 7 класс Никольский, Потапов

Номер 672 - ГДЗ по алгебре 7 класс Колягин, Ткачева, Федорова, Алимов

Номер 672 - ГДЗ по алгебре 9 класс Макарычев, Миндюк, Нешков

Номер 672 - ГДЗ по алгебре 9 класс Макарычев, Миндюк, Нешков

Номер 672 - ГДЗ по алгебре за 7 класс Мерзляк, Полонский, Якир

Номер 672 - ГДЗ по алгебре 9 класс Алимов, Колягин, Сидоров

Номер 672 - ГДЗ по алгебре 8 класс Макарычев, Миндюк с ответом и решением

Номер 672 - ГДЗ по алгебре 8 класс Макарычев, Миндюк с ответом и решением

ГДЗ Номер 672 Алгебра 8 класс Дорофеев | Гарантия хорошей оценки

ГДЗ Номер 672 Алгебра 7 класс Алимов | Гарантия хорошей оценки

ГДЗ Номер 672 Алгебра 7 класс Колягин | Гарантия оценки

Репетитор по математике (алгебра, геометрия), ОГЭ – купить в Москве ...

672 - Алгебра 7 класс Колягин - YouTube

Алгебра с нуля до ОГЭ - YouTube

672 - Алгебра 8 класс Мерзляк - YouTube

672 - Алгебра 9 класс Мерзляк - YouTube

Вся Алгебра в ОГЭ за 42 минуты - YouTube

756 - Алгебра 7 класс Мерзляк - YouTube

Алгебра. 7 класс. Базовый уровень. Электронная форма учебного пособия

  • Вперед Установка штакетника
  • Назад Intellipdf curves скачать

Новые страницы

Алма ата гостиница алатау

Английский 6 класс страница 89 номер 7

Аудио английский язык 3 класс афанасьева 2 часть учебник

Большой историческая сцена схема зала с местами

Договор о коммерческой тайне с работником образец

Где составлять блок схемы

Гдз по русскому языку для пятых классов

Хорошо звуковая схема

История 5 класс презентация появление неравенства и знати

Как поменять венец маховика на ваз 2109

Какие роли предусмотрены

Картинки времена года для детей 6 7 лет разрезные

Косынки для женщин схемы

Мейоз таблица по фазам с рисунками

Меню на свадьбу в кафе

Монтаж деревянных лестниц в частных домах

Первые спортсмены россии

Ремонт однокомнатной квартиры под ключ новостройка

Схема составления родословной

Спортивные часы купить недорого

Татуировки джоджо эскизы

Восстановление никель кадмиевых аккумуляторов шуруповертов

Все датчики на приоре

Закончи поговорку

Замена масла ульяновск

Замена рулевой рейки ниссан тиида

Замена сетки бензонасоса 2110

Заявление по форме 11001 образец заполнения

Здоровый образ жизни популярные виды спорта

Жалоба в ифнс на действие налогового органа образец

cdn.zecar.ru