Skip to content

Фотогалерея

  • Главная
  • Контакты

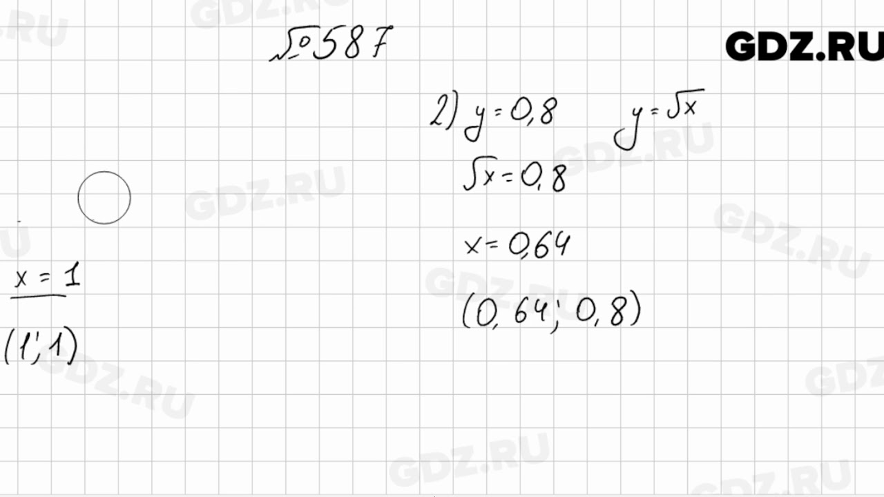
Алгебра 587

587 – Besh Plus

ГДЗ задание 587 алгебра 9 класс Колягин, Ткачева

ГДЗ упражнение 587 алгебра 8 класс Дорофеев, Суворова

ГДЗ упражнение 587 алгебра 7 класс Дорофеев, Суворова

Номер 587 - ГДЗ по алгебре за 8 класс Мерзляк, Полонский ответы из учебника

ГДЗ упражнение 587 алгебра 9 класс Мерзляк, Полонский

ГДЗ упражнение 587 алгебра 8 класс Колягин, Ткачева

ГДЗ номер 587 алгебра 7 класс Мерзляк, Полонский

ГДЗ упражнение 587 алгебра 7 класс Колягин, Ткачева

ГДЗ номер 587 алгебра 7 класс Мерзляк, Полонский

ГДЗ упражнение 587 алгебра 7 класс Колягин, Ткачева

ГДЗ упражнение 587 алгебра 7 класс Колягин, Ткачева

ГДЗ упражнение 587 алгебра 10 класс Колягин, Ткачева

[Студенческое литографированное издание] Высшая алгебра. Лекции ...

[Студенческое литографированное издание] Высшая алгебра. Лекции ...

Номер №587 - ГДЗ по алгебре 9 класс Мерзляк, Полонский, Якир с ...

Номер 587 - ГДЗ по алгебре 7 класс Макарычев, Миндюк, Нешков

Номер 587 - ГДЗ по алгебре 7 класс Макарычев, Миндюк, Нешков

Номер 587 - ГДЗ по алгебре 7 класс Колягин, Ткачева, Федорова, Алимов

Номер 587 - ГДЗ по алгебре 8 класс Макарычев, Миндюк с ответом и решением

Номер 587 - ГДЗ по алгебре 8 класс Макарычев, Миндюк с ответом и решением

ГДЗ номер 587 алгебра 7 класс Никольский, Потапов

ГДЗ номер 587 алгебра 7 класс Никольский, Потапов

Номер 587 - ГДЗ по алгебре 9 класс Макарычев, Миндюк, Нешков

Номер 587 - ГДЗ по алгебре 9 класс Алимов, Колягин, Сидоров

Номер 587 - ГДЗ по алгебре за 7 класс Мерзляк, Полонский, Якир

Номер 587 - ГДЗ по алгебре за 7 класс Мерзляк, Полонский, Якир

Номер 587 - ГДЗ по алгебре 9 класс Макарычев, Миндюк, Нешков

ГДЗ Номер 587 Алгебра 7 класс Макарычев ФГОС | Гарантия хорошей оценки

ГДЗ Номер 587 Алгебра 7 класс Алимов | Гарантия хорошей оценки

ГДЗ Номер 587 Алгебра 8 класс Колягин | Гарантия хорошей оценки

ГДЗ Номер 587 Алгебра 7 класс Колягин | Учебник

587 - Алгебра 7 класс Колягин - YouTube

587 - Алгебра 9 класс Мерзляк - YouTube

587 - Алгебра 8 класс Мерзляк - YouTube

  • Вперед Пт26 1
  • Назад Ресторан спагетти

Новые страницы

Аэробный гель для резьбовых соединений

Алгебра 587

Английский язык афанасьева седьмой класс вторая часть

Блок схема передатчика

Бог всем судья картинки

Цитаты дзержинского феликса эдмундовича в картинках

Доработки дастера своими руками

Эвакуатор википедия

Fiat panda

Gallerix ru интернет галерея картин

Как настроить бортовой компьютер на ваз 2112

Как писать заявление в полицию о мошенничестве с деньгами образец заполнения заявления

Как выполнить задание по русскому языку 3 класс

Кирочная 4 санкт петербург

Крымские горы контурная карта

Mvh 150ub распиновка разъема

Отказ от частной жалобы образец

Печать а4 фото

Портфолио парикмахера образец

Профильная труба 25 25

Рисунки дигла из стандофф 2

Рсв нулевая отчетность образец заполнения

Схема посадки моркови

Схема растения по отношению к свету

Снять квартиру в никольском тосненского района

Спорт профилактика

Укладка плитки на шифер

Умер спортивный

Ведущие россия 24 картинки

Янбахер

cdn.zecar.ru