Skip to content

Фотогалерея

  • Главная
  • Контакты

Алгебра 577

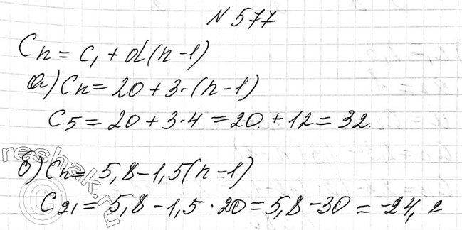
ГДЗ упражнение 577 алгебра 7 класс Дорофеев, Суворова

ГДЗ упражнение 577 алгебра 7 класс Дорофеев, Суворова

ГДЗ упражнение 577 алгебра 7 класс Дорофеев, Суворова

(Решено)Упр.577 ГДЗ Макарычев Миндюк 9 класс по алгебре

ГДЗ упражнение 577 алгебра 7 класс Колягин, Ткачева

ГДЗ упражнение 577 алгебра 10-11 класс Алимов, Колягин

Номер 577 - ГДЗ по алгебре 8 класс Никольский, Потапов с ответом и решением

ГДЗ номер 577 алгебра 7 класс Мерзляк, Полонский

Номер 577 - ГДЗ по алгебре 7 класс Дорофеев, Суворова с ответом и решением

ГДЗ упражнение 577 алгебра 8 класс Колягин, Ткачева

ГДЗ упражнение 577 алгебра 7 класс Колягин, Ткачева

Номер 577 - ГДЗ по алгебре 9 класс Макарычев, Миндюк, Нешков

Номер 577 - ГДЗ по алгебре 9 класс Макарычев, Миндюк, Нешков

Номер 577 - ГДЗ по алгебре 7 класс Макарычев, Миндюк, Нешков

Номер 577 - ГДЗ по алгебре 7 класс Макарычев, Миндюк, Нешков

ГДЗ упражнение 577 алгебра 7 класс Макарычев, Миндюк

ГДЗ упражнение 577 алгебра 7 класс Макарычев, Миндюк

Номер 577 - ГДЗ по алгебре 7 класс Колягин, Ткачева, Федорова, Алимов

ГДЗ номер 577 алгебра 7 класс Никольский, Потапов

Номер 577 - ГДЗ по алгебре 9 класс Алимов, Колягин, Сидоров

Номер 577 - ГДЗ по алгебре за 7 класс Мерзляк, Полонский, Якир

Номер №577 - ГДЗ по алгебре 9 класс Мерзляк, Полонский, Якир с ...

Номер 577 - ГДЗ по алгебре 9 класс Алимов, Колягин, Сидоров

ГДЗ Номер 577 Алгебра 7 класс Дорофеев | Учебник

Номер 577 - ГДЗ по алгебре 8 класс Макарычев, Миндюк с ответом и решением

ГДЗ задание 577 алгебра 7 класс Макарычев, Миндюк

ГДЗ задание 577 алгебра 7 класс Макарычев, Миндюк

ГДЗ упражнение 577 алгебра 9 класс Макарычев, Миндюк

Алгебра Абылкасымова А.Е. 9 класс 2013 Упражнения 577 ГДЗ(д?ж) решебник ...

ГДЗ (відповіді та розв'язання) до вправи №577 - § 14. Система двох ...

577 - Алгебра 8 класс Мерзляк - YouTube

577 - Алгебра 7 класс Мерзляк - YouTube

577 - Алгебра 9 класс Мерзляк - YouTube

Вся Алгебра в ОГЭ за 42 минуты - YouTube

756 - Алгебра 7 класс Мерзляк - YouTube

  • Вперед Как почистить лямбда зонд
  • Назад Торт с картинками мияги

Новые страницы

037906022Ed распиновка эбу

Актюбинский завод ферросплавов

Алгебра 577

Басмач гора в ташкенте

Этиловый спирт медь

Furia esports

Гдз английский 11 класс спотлинг

Города республики коми презентация для детей

Характеристика по месту жительства от соседей образец в суд

Как нарисовать китайку

Как убрать воск с пластика

Карта округов москвы с границами районов города москвы

Квесты братья гримм

Метро спортивная самара

Настя сказка

Образец докладной на ученика за нарушение дисциплины

Образец письма егэ английский

Образец заявления на розыск посылки почта россии

Отель ирэн абхазия пицунда

Отработанный аккумулятор продать

Поединок пересвета и челубея картина васнецова

Публичная кадастровая карта приморско ахтарск

Расход нивы 21213 карбюратор

Расхождение двух плит с океанической земной корой рисунок

Размеры коптильни холодного копчения из дерева своими руками чертежи

Сколько переваривается пища

Телефон парикмахерской

Военно спортивные виды спорта

Заполнить авансовый отчет образец

Жилкование у бобовых

cdn.zecar.ru