Skip to content

Фотогалерея

  • Главная
  • Контакты

Алгебра 288

288 – Besh Plus

288 – Besh Plus

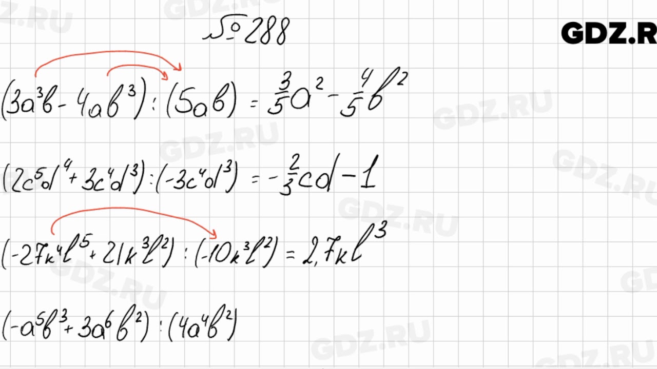
ГДЗ номер 288 алгебра 9 класс Никольский, Потапов

ГДЗ номер 288 алгебра 9 класс Никольский, Потапов

ГДЗ номер 288 алгебра 9 класс Никольский, Потапов

ГДЗ номер 288 алгебра 9 класс Дорофеев, Суворова

ГДЗ упражнение 288 алгебра 8 класс Дорофеев, Суворова

ГДЗ упражнение 288 алгебра 9 класс Мерзляк, Полонский

Ответы ГДЗ Алгебра за 10-11 класс Алгебра и начала математического ...

Номер 288 - ГДЗ по алгебре за 8 класс Мерзляк, Полонский ответы из учебника

ГДЗ упражнение 288 алгебра 8 класс Дорофеев, Суворова

ГДЗ задание 288 алгебра 8 класс Макарычев, Миндюк

Ответы ГДЗ Алгебра за 7 класс Углубленный уровень Номера задач: 288

Номер 288 - ГДЗ по алгебре 7 класс Никольский, Потапов с ответом и решением

ГДЗ номер 288 алгебра 7 класс Мерзляк, Полонский

Номер 288 - ГДЗ по алгебре 7 класс Дорофеев, Суворова с ответом и решением

Номер 288 - ГДЗ по алгебре 7 класс Макарычев, Миндюк, Нешков

Номер 288 - ГДЗ по алгебре 7 класс Макарычев, Миндюк, Нешков

ГДЗ упражнение 288 алгебра 8 класс Макарычев, Миндюк

Номер 288 - ГДЗ по алгебре 8 класс Макарычев, Миндюк с ответом и решением

Номер 288 - ГДЗ по алгебре 8 класс Макарычев, Миндюк с ответом и решением

Номер 288 - ГДЗ по алгебре 9 класс Макарычев, Миндюк, Нешков

Номер 288 - ГДЗ по алгебре 9 класс Макарычев, Миндюк, Нешков

Номер №288 - ГДЗ по алгебре 9 класс Мерзляк, Полонский, Якир с ...

ГДЗ номер 288 алгебра 8 класс Никольский, Потапов

ГДЗ номер 288 алгебра 8 класс Никольский, Потапов

Номер 288 - ГДЗ по алгебре 7 класс Колягин, Ткачева, Федорова, Алимов

Номер 288 - ГДЗ по алгебре 7 класс Колягин, Ткачева, Федорова, Алимов

Алгебра Абылкасымова А.Е. 8 класс 2016 Упражнения 288 ГДЗ(д?ж) решебник ...

288 - Алгебра 7 класс Колягин - YouTube

388 - Алгебра 8 класс Мерзляк - YouTube

288 - Алгебра 9 класс Мерзляк - YouTube

Задача №288. Алгебра 7 класс Макарычев. - YouTube

Алгебра 8 класс. Уравнения с модулями - YouTube

Вся Алгебра в ОГЭ за 42 минуты - YouTube

  • Вперед Как прозвонить якорь генератора мультиметром
  • Назад Докладная на класс от учителя образец

Новые страницы

Алгебра 288

Банки ру уфа

Доверенность на машину образец от руки физического лица

Галимова диана

Газовый котел viessmann инструкция по эксплуатации

Гдз по математике 2 класс стр 85 номер 3

Импульсная зарядка автомобильного аккумулятора схема

Какой клиренс у фольксваген тигуан

Калина или xray

Картинка раком на огороде

Картофель исчисляемое или нет

Конверт солдату от школьника образец

Липецкий театр кукол

Луиза с днем рождения картинки красивые и пожелания

Мягкое слабительное средство для очищения кишечника

Образец описания картинки для устного собеседования

Образец заявления в полицию по факту мошенничества физического лица

Озеро малахово оренбург карта

Плазменный резак как работает

Покраска дисков юзао удальцова

Полина владимировна канис картины

Skyline r32

Спортивно дорожные велосипеды

Технология программированного обучения это

Топливный насос волга производительность

Тюменский индустриальный институт

Внутренняя отделка квартиры кирпичом

Записка в школу от родителей о пропуске занятий по семейным обстоятельствам образец директору

Заявление в арбитражный суд о выдаче копии решения суда образец

Звезда электродвигатель схема

cdn.zecar.ru