Skip to content

Фотогалерея

  • Главная
  • Контакты

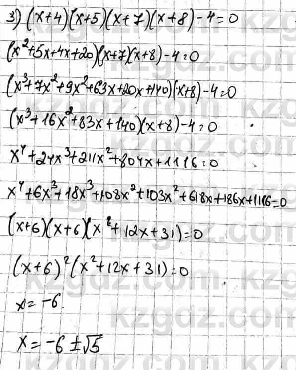
Алгебра 10 класс номер 458

ГДЗ номер 458 алгебра 10-11 класс Колмогоров, Абрамов

Номер №458 - решебник по алгебре за 10-11 класс Алимов, Колягин онлайн

ГДЗ упражнение 458 алгебра 10 класс Колягин, Ткачева

ГДЗ упражнение 458 алгебра 10-11 класс Алимов, Колягин

ГДЗ номер 458 алгебра 9 класс Дорофеев, Суворова

ГДЗ номер 458 алгебра 9 класс Дорофеев, Суворова

ГДЗ номер 458 алгебра 7 класс Мерзляк, Полонский

(Решено)Упр.458 ГДЗ Алимов 10-11 класс по алгебре

Номер 458 - ГДЗ по алгебре 8 класс Макарычев, Миндюк с ответом и решением

ГДЗ номер 458 алгебра 7 класс Никольский, Потапов

Номер задания №458 - ГДЗ по Алгебре 9 класс: Макарычев Ю.Н.

Номер 458 - ГДЗ по алгебре 9 класс Макарычев, Миндюк, Нешков

ГДЗ номер 458 алгебра 7 класс Мерзляк, Полонский

Алгебра. 10 класс. Самостоятельные и контрольные работы. Углубленный ...

Алгебра и начала математического анализа. 10 класс. (базовый и ...

ГДЗ упражнение 458 алгебра 7 класс Колягин, Ткачева

Номер задания №458 - ГДЗ по Алгебре 7 класс: Макарычев Ю.Н.

ГДЗ упражнение 458 алгебра 8 класс Колягин, Ткачева

ГДЗ упражнение 458 алгебра 7 класс Колягин, Ткачева

Номер 458 - ГДЗ по алгебре за 8 класс Мерзляк, Полонский ответы из учебника

ГДЗ упражнение 1077 алгебра 10-11 класс Алимов, Колягин

ГДЗ упражнение 458 алгебра 7 класс Макарычев, Миндюк

ГДЗ упражнение 458 алгебра 9 класс Макарычев, Миндюк

Номер №458 - ГДЗ по Алгебре 7 класс: Мерзляк А.Г.

ГДЗ номер 458 алгебра 9 класс Никольский, Потапов

ГДЗ задание 458 алгебра 9 класс Макарычев, Миндюк

ГДЗ номер 458 алгебра 9 класс Никольский, Потапов

Алгебра Абылкасымова А. 10 класс 2019 § 34. Уравнения высших степеней ...

ГДЗ упражнение 458 алгебра 9 класс Мерзляк, Полонский

Номер №52.12 ГДЗ по алгебре за 10-11 класс Мордкович, Александрова с ...

Номер задания №458 - ГДЗ по Алгебре 8 класс: Макарычев Ю.Н.

Алгебра. 10 класс. Самостоятельные и контрольные работы. Углубленный ...

ГДЗ Номер 699 Алгебра 10 класс Колягин | Гарантия хорошей оценки

Номер №32.19 ГДЗ по алгебре за 10-11 класс Мордкович, Александрова с ...

Алгебра 10 класс номер 343 – Telegraph

  • Вперед Дислалия диагностика схема обследования
  • Назад Русский язык 7 класс решебник волынец

Новые страницы

База отдыха пристань

Бежит масло из бензопилы

Дикая жимолость

Гдз по математике канакина горецкий 3 класс

Гдз по математике шестой класс номер 419

Гдз по окружающему миру рабочая тетрадь 3 класс 2 часть плешаков стр 49

К какому виду письменных источников относится данный документ кто является его автором 7 класс ответ

Как зовут монстер хай с картинками

Карта весовых рамок россии 2022

Кератит вирусный

Лечится ли геморрой навсегда

Литературное чтение 2 часть 4 класс страница 149

Мануал ниссан ванетте скачать

Маршрут 34 стерлитамак схема

Математика страница 58 номер 216

Не заводится ниссан лаурель

Nr891d

Окружность описана

По геометрии 11 класс атанасян

Правила поведения при пожаре презентация 8 класс обж

Радиоприемник ритмикс 151 отзывы

Реки и озера индии

Ремонт разбитого зеркала в шкафу

Русский язык 4 класс стр 132

С днем рождения аннушка картинки красивые с пожеланиями

Схема предохранителей ваз 2110 инжектор 8 клапанов

Схемы тюлей

Скуд система контроля и управления доступом установить

Установка реле блокировки стартера лачетти

Замки на островах

cdn.zecar.ru