Skip to content

Фотогалерея

  • Главная
  • Контакты

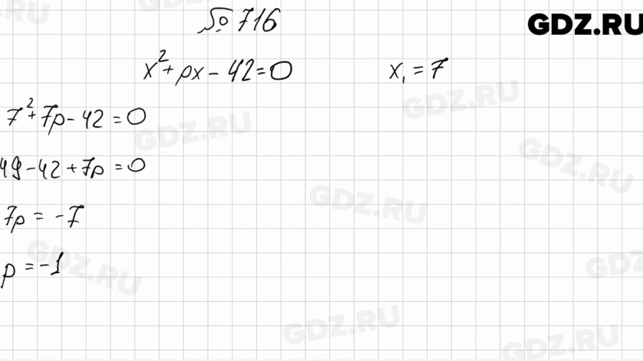
716 Алгебра 7 класс

ГДЗ упражнение 716 алгебра 7 класс Дорофеев, Суворова

ГДЗ упражнение 716 алгебра 7 класс Дорофеев, Суворова

ГДЗ упражнение 716 алгебра 7 класс Дорофеев, Суворова

ГДЗ упражнение 716 алгебра 7 класс Колягин, Ткачева

ГДЗ номер 716 алгебра 7 класс Мерзляк, Полонский

ГДЗ номер 716 алгебра 7 класс Мерзляк, Полонский

ГДЗ номер 716 алгебра 7 класс Мерзляк, Полонский

ГДЗ упражнение 716 алгебра 7 класс Колягин, Ткачева

ГДЗ упражнение 716 алгебра 7 класс Колягин, Ткачева

ГДЗ упражнение 716 алгебра 7 класс Колягин, Ткачева

Номер 716 - ГДЗ по алгебре 7 класс Никольский, Потапов с ответом и решением

ГДЗ номер 716 алгебра 7 класс Мерзляк, Полонский

Номер 716 - ГДЗ по алгебре 7 класс Макарычев, Миндюк, Нешков

Номер 716 - ГДЗ по алгебре 7 класс Макарычев, Миндюк, Нешков

ГДЗ номер 716 алгебра 7 класс Никольский, Потапов

Номер 716 - ГДЗ по алгебре за 7 класс Мерзляк, Полонский, Якир

Номер 716 - ГДЗ по алгебре 7 класс Колягин, Ткачева, Федорова, Алимов

ГДЗ задание 716 алгебра 7 класс Макарычев, Миндюк

ГДЗ Номер 716 Алгебра 7 класс Дорофеев | Учебник

ГДЗ номер 716 алгебра 8 класс Мерзляк, Полонский

ГДЗ номер 716 алгебра 8 класс Мерзляк, Полонский

ГДЗ по Алгебре 7 класс учебник Колягина задание 716 ответы

Номер 716 - ГДЗ по алгебре за 8 класс Мерзляк, Полонский ответы из учебника

Номер 716 - ГДЗ по алгебре 9 класс Макарычев, Миндюк, Нешков

Номер 716 - ГДЗ по алгебре 8 класс Макарычев, Миндюк с ответом и решением

ГДЗ Номер 716 Алгебра 7 класс Никольский | Гарантия хорошей оценки

Номер 716 - ГДЗ по алгебре 9 класс Алимов, Колягин, Сидоров

ГДЗ номер 716 алгебра 8 класс Никольский, Потапов

716 - Алгебра 8 класс Мерзляк - YouTube

ГДЗ Алгебра 7 класс Макарычев, Теляковский 2024 ФГОС, Решение, Номера, 155

ГДЗ по Алгебре 7 класс учебное пособие Мерзляк

Номер 7.17 - Решебник по алгебре 7 класс Мордкович

ГДЗ по алгебре 7 класс Макарычев, Миндюк, решебник онлайн

«Алгебра. 7 класс», М. И. Шабунин – скачать pdf на Литрес

  • Вперед Транскрипция мель
  • Назад Спортивные трусы мужские

Новые страницы

Балаково магрус

Батарейка lr44

Большой дверной проем как оформить с дверью

Часовая станция чс 1 02

Дорисуй или зачеркни кружки квадраты или треугольники так

Гдз алгебра 7 класс номер 672

Иван попов

Изучив схему разбора предложения

Как давать коту вазелиновое масло

Как уменьшить колики у новорожденных

Как выглядит атопический дерматит у взрослых

Карта камер безопасный регион ярославль

Карта осадков липецк в реальном времени онлайн в реальном времени

Карта восточного казахстана подробная с городами и поселками

Комбайн машина картинки

Контурная карта 5 класс география стр 6 7 дрофа

Косметика сибирика натурика

Лукойл люкс или армортек

Марафонбет ру букмекерская

Налоговый адвокат

Петля лассо схема завязывания

Psp 3008 отличия

Пухов пластический хирург челябинск

Service vehicle soon opel

Схема бмп 2

Слитные и раздельные союзы

Станции метро красноярск

Виды динозавров в картинках с названиями для детей

Задний мост т 16

Заявление на снижение процента удержания по исполнительному листу из зарплаты приставу образец

cdn.zecar.ru