Skip to content

Фотогалерея

  • Главная
  • Контакты

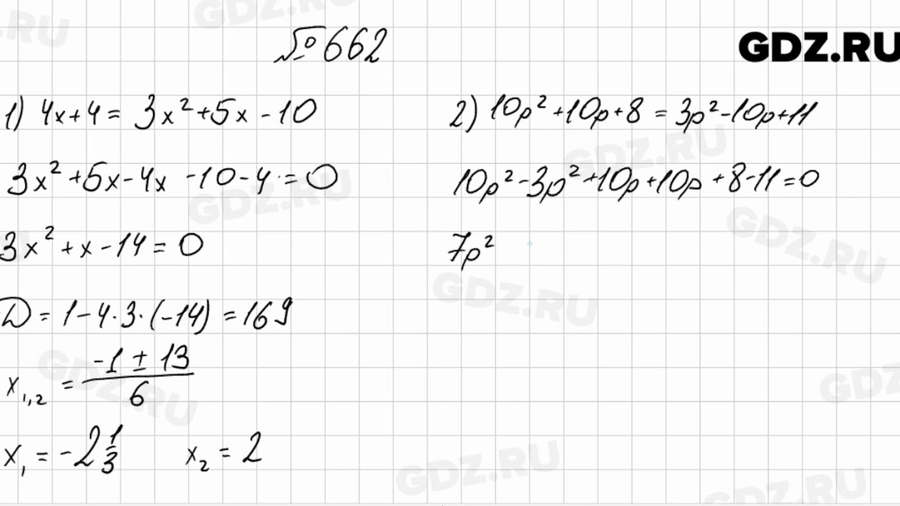
662 Алгебра 8 класс мерзляк

Номер 662 - ГДЗ по алгебре за 8 класс Мерзляк, Полонский ответы из учебника

Учебник Алгебра 8 класс Мерзляк Полонский Якир читать онлайн

(Решено)Упр.662 ГДЗ Мерзляк 8 класс по алгебре

Алгебра 8 Контрольные Мерзляк ДМ - КОНТРОЛЬНЫЕ РАБОТЫ

ГДЗ Алгебра 8 клас. Поглиблений рівень вивчення Мерзляк А.Г ...

Алгебра. 8 класс. Методическое пособие к учебнику А. Г. Мерзляка, В. Б ...

ГДЗ Алгебра А. Г. Мерзляк, В. Б. Полонський, М. С. Якір 8 клас Готові ...

ГДЗ номер 662 алгебра 8 класс Мерзляк, Полонский

(Решено)Упр.662 ГДЗ Мерзляк 8 класс по алгебре

662 - Алгебра 8 класс Мерзляк - YouTube

Учебник Гимназия Алгебра 8 класс Мерзляк Новая программа издательства ...

Сторінка 1 - Підручник Алгебра 8 клас Мерзляк 2016 - скачати онлайн

КР-3 АЛГЕБРА 8 МЕРЗЛЯК | задания по математике - задача решена

КР-6. Неравенства. Алгебра 8 класс (угл) | Мерзляк

Номер №662 - ГДЗ по Алгебре 8 класс: Мерзляк А.Г.

Номер 662 - ГДЗ по алгебре за 8 класс Мерзляк, Полонский ответы из учебника

Алгебра. 8 класс. Дидактические материалы. Мерзляк А.Г. Полонский В.Б ...

ГДЗ Номер 7 Алгебра 8 класс Мерзляк. Углубленный параграф 5 (н ...

ГДЗ номер 662 геометрия 8 класс Мерзляк, Полонский

ГДЗ Алгебра 8 клас. Поглиблений рівень вивчення Мерзляк А.Г ...

Номер 1085 - ГДЗ по алгебре за 8 класс Мерзляк, Полонский ответы из ...

ГДЗ номер 662 алгебра 8 класс Мерзляк, Полонский

Алгебра 8 класс. Методическое пособие - Буцко Е.В., Мерзляк А.Г. и др ...

Алгебра 8 класс. Методическое пособие - Буцко Е.В., Мерзляк А.Г. и др ...

Алгебра 8 Клас. Підручник для Класів З Поглибленим Вивченням Математики ...

Алгебра 8 класс. Методическое пособие - Буцко Е.В., Мерзляк А.Г. и др ...

ГДЗ упражнение 662 алгебра 9 класс Мерзляк, Полонский

ГДЗ по Алгебре 8 класс учебник Макарычев

Відповідь вправа 662 - § 3. Квадратні рівняння | ГДЗ Алгебра 8 клас ...

Збірник задач і контрольних робіт з алгебри., 8 клас. Мерзляк А.Г ...

Алгебра 8 Клас Мерзляк Підручник З Поглибленим Вивченням Онлайн Гдз ...

КР-1 АЛГЕБРА 8 МЕРЗЛЯК | задания по математике - задача решена

ГДЗ упражнение 662 алгебра 9 класс Мерзляк, Полонский

  • Вперед Срочный трудовой договор образец заполненный скачать бесплатно
  • Назад Картинки с днем рождения тренеру по футболу мужчине

Новые страницы

Автобиография в официально деловом стиле образец

Будний и будничный разница

Доверенность м2 образец

Эта точка земли интересна тем что ее географические координаты равны 0 где

Флора катархея

Гдз по русскому языку 6 класс учебник 2015

Гомотетия многоугольника

История таганской тюрьмы в москве

Как лечить крапивницу у ребенка

Как оформляется выписка из приказа образец в рб

Как снять наконечник рулевой тяги

Компенсаторы на трубопроводах

Краткое содержание незнайка

Ледовый дворец санкт петербург расположение секторов и мест

Люди икс первый класс смотреть онлайн

Макраме на палке схемы

Математика 7 класс мерзляк номер 823

Математика учебник 2 класс часть 2 страница 80

Маз 5337 инструкция по эксплуатации

Надомная работа вязание

Паром в стокгольме

Проект города россии 2 класс окружающий мир нальчик

Разобрал выключатель как собрать

Реквием ахматова сочинение

Ремонт зеркала рендж ровер

Сантехник сантехнические работы

Схема классификаций организаций

Спорт для детей и взрослых

Упражнение 530

Золотые цифры картинки

cdn.zecar.ru