Skip to content

Фотогалерея

  • Главная
  • Контакты

5 Алгебра

Картинки формулы по алгебре (42 фото) - 42 фото

5. Алгебра, 9 класс, СОЧ за I четверть - YouTube

5. Алгебра, 7 класс, СОЧ за IV четверть - YouTube

5. Алгебра, 8 класс, СОЧ за I четверть - YouTube

Картинки формулы по алгебре (42 фото) - 42 фото

КР-4 АЛГЕБРА 8 МЕРЗЛЯК | задания по математике - задача решена

Картинки по запросу алгебра 7 класс формулы | Дискретная математика ...

КР-5 АЛГЕБРА 7 МАКАРЫЧЕВ ОТВЕТЫ | задания по математике - задача решена

КР-5 Алгебра 7 Макарычев ОТВЕТЫ | ВСЕ КОНТРОЛЬНЫЕ

Линейная алгебра. ISBN: 978-5-8114-1427-7 - купить книгу в интернет ...

5. Алгебра, 10 класс ОГН, СОЧ за III четверть - YouTube

Алгебра и начала математического анализа. 10-11 классы. Базовый и ...

ГДЗ задачник 2015 / §5 5.5 алгебра 9 класс Учебник, Задачник Мордкович ...

КР-5 Алгебра 7 Макарычев ОТВЕТЫ - ВСЕ КОНТРОЛЬНЫЕ

Сколько правил в математике? Все основные правила и принципы

7 сынып алгебра 5.10 есеп/ алгебра 7 сынып 5.10 есеп/ 7 сынып алгебра ...

Алгебра 8 Мордкович КР-5 - Контрольная работа № 5 с ответами

Огэ 9кл математика в5 номер14

Алгебра 8 Макарычев Контрольная 5 - КОНТРОЛЬНЫЕ РАБОТЫ

Повторение курса алгебры. 7 класса - online presentation

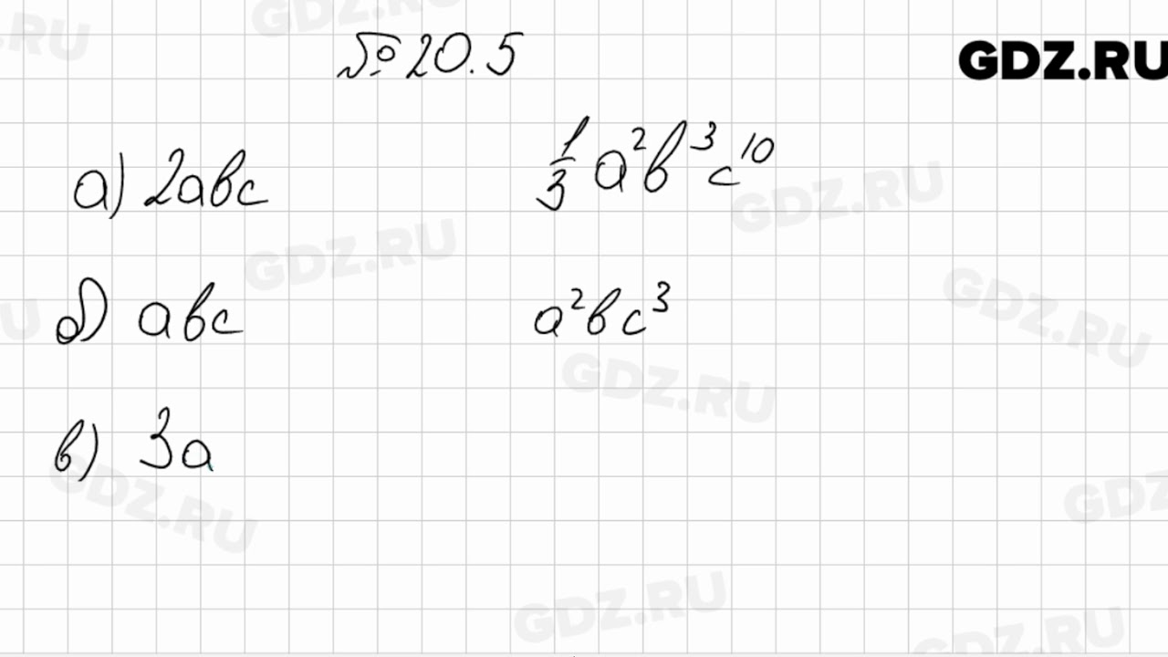
20.5 - Алгебра 7 класс Мордкович - YouTube

А. Г. Мерзляк, Алгебра. 8 класс – читать онлайн на ЛитРес

КР-5 АЛГЕБРА 8 МЕРЗЛЯК | задания по математике - задача решена

Упражнение 5.57 ГДЗ Никольский Потапов 11 класс по алгебре - ГДЗ для ...

Алгебра 8 класс Итоговая (угл.) с ответами . Контрольная работа

Рабочий лист по алгебре "Приведение подобных слагаемых".

Варианты ОГЭ по алгебре 9 класс 2023

Повторение курса алгебры за 7 класс - презентация онлайн

Справочник по алгебре. (7-9 класс) - online presentation

Алгебра логики - презентация онлайн

Ответы Mail: Алгебра 5 упр!

  • Вперед Резюме прораба в строительстве образец
  • Назад Разветвитель тв сигнала на 3 телевизора

Новые страницы

Аллигатор сигнализация с автозапуском инструкция 825

Царские дворцы в александрии

Чистовая отделка в новостройке

Цикл спорт ярославль

Цветы на черном фоне картинки вертикальные

Цветная электросхема камаз

Эванджелина бут

Эзотерический проект черная и белая магия лаборатория малфрида

Гдз учебник английского языка 7 класс

Гибкий воздуховод 250 мм для вентиляции

Кафе в рассказово

Карта с пещерами rise of kingdoms

Карта тракерс мп онлайн

Картинка карандаш для детей рисунок

На что влияет развал схождение

Невроз навязчивых состояний у детей

Перевод boost

Поменять прокладку клапанной крышки лачетти

Противники нэпа

Работа установка кондиционеров вакансии

Распиновка контактов модуля зажигания ваз 2114

Схема тахометра ваз 2109

Схемы электронных трансформаторов для галогенных ламп

Театры уфы список

Тренировка родитель ребенок

Универсальный передаточный документ образец заполнения

Установка ремня грм на приоре

Установление господства рима во всем средиземноморье

Узнать по номеру телефона где находится абонент

Vdr 14d471k

cdn.zecar.ru