Skip to content

Фотогалерея

  • Главная
  • Контакты

4S2

4S2 - YouTube

MAN 4S2 - YouTube

Outermost electronic configuration of a group13 element,E,is 4s2,4p1 ...

AMLnZu-I-EDCqHF3AuYZEtR-6jHf5AjtqURpPL5imlqL=s900-c-k-c0x00ffffff-no-rj

Find the zeroes of the quadratic polynomial 4s2 – 4s + 1 and verify the ...

Which element has the electron configuration of 1s2 2s2 2p6 3s2 3p6 3d6 ...

Which element has the electron configuration of? 1s2 2s2 2p6 3s2 3p6 ...

Which element has the electron configuration of 1s2 2s2 2p6 3s2 3p6 ...

Wiswesser S Wikipedia - 1s2 2s2 2p6 3s2 3p6 4s2 3d10 4p6 5s2 4d10 5p6 ...

4S Elements in Periodic Table

[Ar] 3d6 4s2 - a photo on Flickriver

MAN 4S2 - a photo on Flickriver

Periodicity II Self Quiz. - ppt download

Solve the equation 4s2 + 32s = 60 by completing the square. A. s = –4±√ ...

3DG-4S2-BP - Fracarro Radioindustrie SRL

Find the zeros of the quadratic polynomial 4s2-4s+1 - Brainly.in

4s2-4s+1 factories and verify it - Brainly.in

Electron Configurations - ppt download

(iii) 4s2−4s+1a=4b=4c=14s2(2+2)s+14s2−2s+2s+12s(2s−1)−1(2s−1)(2s−1)(2s−1)..

Kinergy 4S2 | Subaru Outback Forums

Recap What does “ground state” refer to? A. A hydrogen atom - ppt download

[Ar]4s2,3d2 by TDRloid | Free Listening on SoundCloud

4s2-4s+1 zero of polynomial - Brainly.in

Renesas Electronics SRAM, RMLV0816BGSA-4S2#AA0- 8Mbit | RS

Aircraft Photo of PH-4S2 | TL Ultralight TL-3000 Sirius | AirHistory ...

Middle term splitting 4s2−4s+1x2−2x−83x2−x−4 | Filo

MAN 4S2 Specs and data - United Kingdom

4s2 3d10 : r/sciencememes

SOLVED: Which element has a valence electron configuration of 4s2 4p1?

Unit 2 Review. - ppt download

PH-4S2 Adventure Flights TL Ultralight TL-3000 Sirius Photo by Ronald ...

SOLVED:(bli;) & 2 2 Jlaul The electron configuration of a Manganese ...

SOLVED: Konfigurasi elektron ion adalah sebagai berikut : Q25 = 1s2 2s2 ...

Used 2021 Kubota KX080-4S2 Excavator | AgDealer

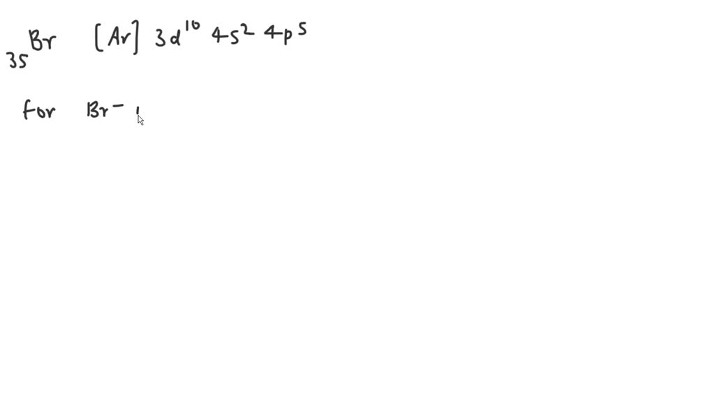
SOLVED: Which is the correct electron configuration for bromide ion? A ...

  • Вперед Предложения с картинками для чтения для дошкольников
  • Назад Tahoe chevrolet

Новые страницы

Европлан краснодар

Фото фитнес 2

Гдз п алгебре 7 класс атанасян

Химчистка обуви ростов

Импокар автовоз

Как снять радиатор печки на лифан солано

Кия к5 2020 фото цена

Кизару ван пис рисунок

Когда в страдательных причастиях пишется нн

Краны sti

Математика 5 класс ладыженская гдз

Метро проспект космонавтов в екатеринбурге

Накладки на смеситель к стене

Образец ходатайства в налоговую о снижении штрафа за несвоевременное предоставление документов

Отель хилтон москва

Отличительные черты медвежьих

Пансионат уют

Пежо 308 нет зарядки

План познавательная деятельность человека егэ обществознание

Приказ о предоставлении отпуска по уходу за ребенком до 3 лет образец

Распиновка предохранителей мерседес 211

Решебник химия

Схема впускного коллектора

Сигнализация пандора 3210 инструкция

Снять квартиру в куйбышевском районе

Тектонические структуры на территории россии карта

Уаз чехов

Услуги крана манипулятора в самаре

Виды петель мебельных

Возражение на исковое заявление образец по гражданскому делу

cdn.zecar.ru