Skip to content

Фотогалерея

  • Главная
  • Контакты

332 Алгебра

ГДЗ упражнение 332 алгебра 8 класс Дорофеев, Суворова

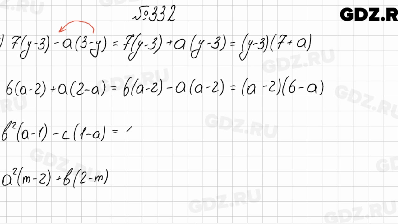
ГДЗ номер 332 алгебра 8 класс Мерзляк, Полонский

ГДЗ номер 332 алгебра 8 класс Мерзляк, Полонский

ГДЗ номер 332 алгебра 8 класс Никольский, Потапов

ГДЗ номер 332 алгебра 7 класс Мерзляк, Полонский

ГДЗ упражнение 332 алгебра 9 класс Мерзляк, Полонский

ГДЗ упражнение 332 алгебра 9 класс Мерзляк, Полонский

ГДЗ задание 332 алгебра 7 класс рабочая тетрадь Потапов, Шевкин

ГДЗ упражнение 332 алгебра 9 класс Мерзляк, Полонский

ГДЗ упражнение 332 алгебра 9 класс Мерзляк, Полонский

ГДЗ номер 332 алгебра 8 класс Мерзляк, Полонский

ГДЗ упражнение 332 алгебра 9 класс Макарычев, Миндюк

ГДЗ номер 332 алгебра 8 класс Никольский, Потапов

ГДЗ номер 332 алгебра 9 класс Дорофеев, Суворова

ГДЗ задание 332 алгебра 9 класс Макарычев, Миндюк

ГДЗ задание 332 алгебра 9 класс Макарычев, Миндюк

332 - Алгебра 7 класс Колягин - YouTube

ГДЗ задание 332 алгебра 7 класс Макарычев, Миндюк

ГДЗ номер 332 алгебра 8 класс Никольский, Потапов

ГДЗ номер 332 алгебра 7 класс Никольский, Потапов

ГДЗ упражнение 332 алгебра 11 класс Колягин, Ткачева

ГДЗ упражнение 332 алгебра 8 класс Макарычев, Миндюк

ГДЗ упражнение 332 алгебра 9 класс Макарычев, Миндюк

ГДЗ упражнение 332 алгебра 7 класс Колягин, Ткачева

ГДЗ упражнение 332 алгебра 8 класс Колягин, Ткачева

ГДЗ упражнение 332 алгебра 11 класс Колягин, Ткачева

ГДЗ упражнение 332 алгебра 9 класс Макарычев, Миндюк

ГДЗ номер 332 алгебра 10-11 класс Колмогоров, Абрамов

ГДЗ задание 332 алгебра 9 класс Колягин, Ткачева

ГДЗ упражнение 332 алгебра 10-11 класс Алимов, Колягин

ГДЗ номер 332 алгебра 7 класс Мерзляк, Полонский

ГДЗ задачник 2021 / итоговое повторение 332 алгебра 9 класс Учебник ...

ГДЗ упражнение 332 алгебра 7 класс Колягин, Ткачева

ГДЗ упражнение 332 алгебра 7 класс Макарычев, Миндюк

ГДЗ задание 332 алгебра 7 класс Макарычев, Миндюк

  • Вперед Карта панорама адлера с улицами и номерами домов панорама
  • Назад Карта осадков магнитогорск онлайн

Новые страницы

А102

Акт врезки в водопроводную сеть образец

Аниме картинки из пинтереста черно белые

Чет подозрительно картинка мем

Домашние задания по русскому 4 класс учебник

Фитнес на ушинского расписание

Как нарисовать круг без циркуля мем

Как правильно написать заявление об увольнении по состоянию здоровья образец

Как заправить подкатной домкрат

Картинки толстых аниматроников

Мальчик прочитал рассказ и стихотворение

Мед карта образец

Мультяшные эскизы для тату

Натопишь спряжение

Официальный сайт спбгпму

Окей гипермаркет официальный сайт

Отделка фасада каркасного дома

Пищеблок 5 серия смотреть

Поступить нелогично как пишется

Рихтовка порогов

Рисунки на сарае на даче

С днем рождения айжан поздравление с красивыми картинками

Схема сборки стола трансформера

Состав семьи в анкете как написать для садика образец

Спортивная тренировка способствует

Сравнение логана и сандеро

Сто аврора балаково

Уравнение реакции протекающей по схеме

Установка двери дорхан ультра

Заявление на пропуск занятий в школе образец по семейным обстоятельствам

cdn.zecar.ru